电脑桌面
添加小米粒文库到电脑桌面
安装后可以在桌面快捷访问

高三数学高考第一轮复习——直线与圆锥曲线(理)人教实验A版 知识精讲VIP免费

高三数学高考第一轮复习——直线与圆锥曲线(理)人教实验A版 知识精讲_第1页
1/15
高三数学高考第一轮复习——直线与圆锥曲线(理)人教实验A版 知识精讲_第2页
2/15
高三数学高考第一轮复习——直线与圆锥曲线(理)人教实验A版 知识精讲_第3页
3/15
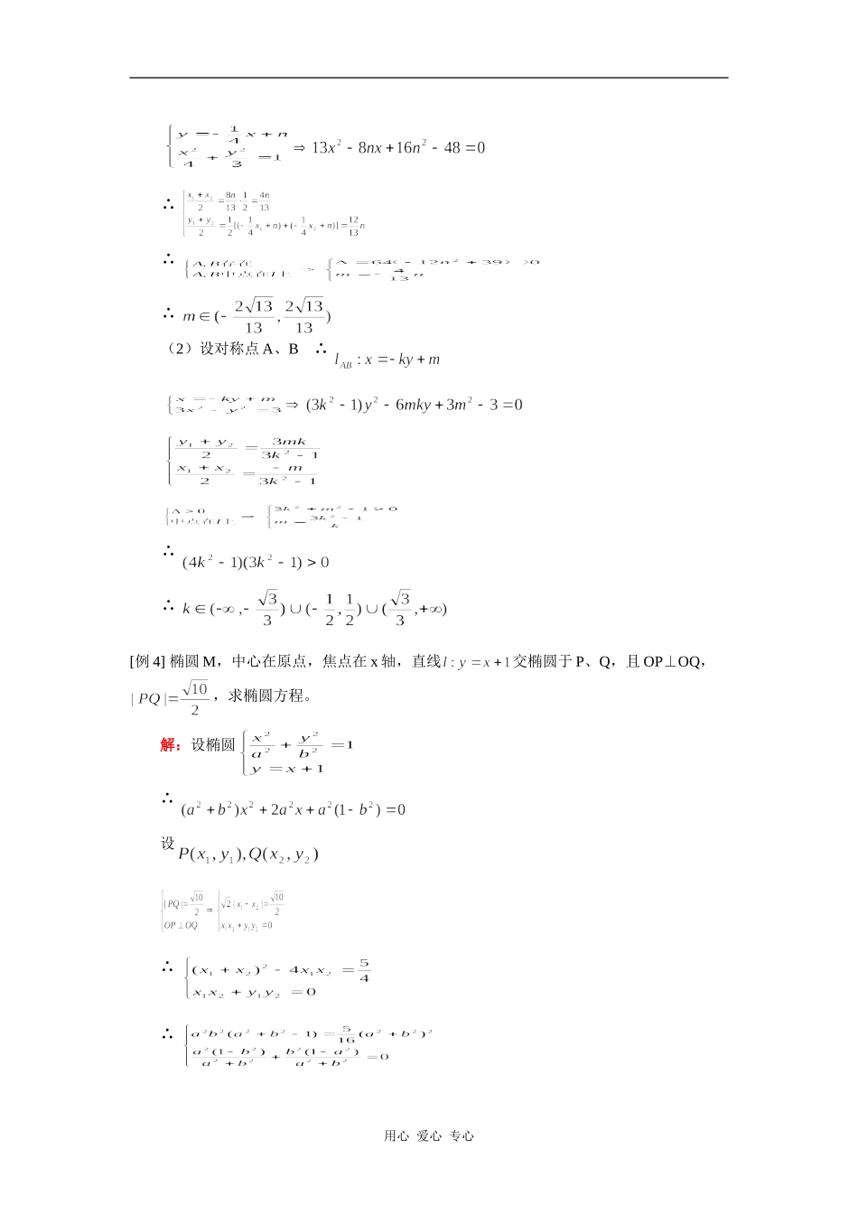
高三数学高考第一轮复习——直线与圆锥曲线(理)人教实验A版【本讲教育信息】一.教学内容:直线与圆锥曲线二.重点、难点:1.曲线:2.直线:(1)无交点(2)一个交点,相切(3)两个交点P、Q【典型例题】[例1]A(4,1)过A作交曲线M于P、Q,A恰为PQ中点,求。(1)(2)(3)解:(1)设,∴∴∴A为PQ中点∴,∴∴(2)同理:用心爱心专心(3)同理:[例2]过曲线M的焦点F,作直线交曲线M于A、B,求的最小值。(1)(2)(3)解:(1)①设<1>交于两支∴时,<2>交于右支∴②综上所述,(2)同理:(3)同理:[例3](1)椭圆,直线,若M上存在两个不同的点,关于对称,求m的取值范围。(2)双曲线,直线,若M上存在两个不同的点关于对称,求k的取值范围。解:(1)设对称点A,B∴用心爱心专心∴∴∴(2)设对称点A、B∴∴∴[例4]椭圆M,中心在原点,焦点在x轴,直线交椭圆于P、Q,且OP⊥OQ,,求椭圆方程。解:设椭圆∴设∴∴用心爱心专心令∴∴∴[例5]曲线P在M上,A(1,2),B(3,8),求最小值。与AB平行的曲线的切线:依图∴[例6]已知在平面直角坐标系中的一个椭圆,它的中心在原点,左焦点为F(,0),右顶点为D(2,0),设点A。(1)求该椭圆的标准方程;(2)若P是椭圆上的动点,求线段PA中点M的轨迹方程;用心爱心专心(3)过原点O的直线交椭圆于点B,C,求△ABC面积的最大值。解析:(1)由已知得椭圆的半长轴,半焦距,则半短轴又 椭圆的焦点在x轴上∴椭圆的标准方程为(2)设线段PA的中点为M(x,y),点P的坐标是()由,得由点P在椭圆上,得∴线段PA中点M的轨迹方程是(3)当直线BC垂直于x轴时,BC=2,因此△ABC的面积S△ABC=1当直线BC不垂直于x轴时,该直线方程为,代入解得,则,又因为点A到直线BC的距离∴△ABC的面积,于是由,得,其中,当时,等号成立∴的最大值是[例7]如图,双曲线的离心率为,F1,F2分别为左、右焦点,M为左准线与渐近线在第二象限内的交点,且。用心爱心专心(1)求双曲线的方程;(2)设A(m,0)和是x轴上的两点。过点A作斜率不为0的直线,使得交双曲线于C,D两点,作直线BC交双曲线于另一点E。证明直线DE垂直于x轴。解析:(1)根据题设条件,,设点M(x,y),则x,y满足因,解得,故利用,得,于是因此,所求双曲线方程为(2)证明:设点C(),D(),E(),则直线的方程为于是两点坐标满足将<1>代入<2>得由(点C在双曲线上),上面方程可化简为用心爱心专心由已知,显然于是,因为,得同理,两点坐标满足可解得所以,故直线DE垂直于x轴。[例8]已知点M(-2,0),N(2,0),动点P满足条件,记动点P的轨迹为W。(1)求W的方程;(2)若A,B是W上的不同两点,O是坐标原点,求的最小值。解析:解法一:(1)由知,动点P的轨迹是以M,N为焦点的双曲线的右支,实半轴长。又半焦距,故虚半轴长∴W的方程为(2)设A,B的坐标分别为当AB⊥x轴时,,从而当AB与x轴不垂直时,设直线AB的方程为,与W的方法联立,消去y得,故∴用心爱心专心又 ,∴,从而综上,当AB⊥x轴时,取得最小值2解法二:(1)同解法一(2)设A,B的坐标分别为,则令,则,且∴当且仅当,即时“=”成立∴的最小值是2[例9]无论m为何值,直线:与双曲线C:恒有公共点。(1)求C的离心率的取值范围;(2)若直线过C的右焦点F与双曲线交于P、Q,并且满足,求C的方程。解:(1)∴①时,m=0方程组无解,不合题意②,恒成立,即恒成立∴∴(2)设:,∴∴ ∴用心爱心专心又 ∴∴[例10]如图F(1,0),点M在x轴上,若且向量与的交点在y轴上。(1)求N的轨迹;(2)是否存在过点(-1,0)的直线交轨迹于A、B且,并说明理由。解:(1)设N(x,y),M(a,0)与的交点为P,∴P为中点,且∴∴,∴∴(2)设存在直线满足条件令∴∴用心爱心专心定值∴不存在使=4[例11]如图,已知椭圆,过其左焦点且斜率为1的直线与椭圆及其准线的交点从左到右的顺序为A、B、C、D,设(1)求的解析式;(2)求的最值。考查方向:本题主要考查利用解析几何的知识建立函数关系式,并求其最值,体现了圆锥曲线与代数间的科间综合。知识背景:直线与圆锥曲线的交点,韦达定理,根的判别式,利用单调...

1、当您付费下载文档后,您只拥有了使用权限,并不意味着购买了版权,文档只能用于自身使用,不得用于其他商业用途(如 [转卖]进行直接盈利或[编辑后售卖]进行间接盈利)。
2、本站所有内容均由合作方或网友上传,本站不对文档的完整性、权威性及其观点立场正确性做任何保证或承诺!文档内容仅供研究参考,付费前请自行鉴别。
3、如文档内容存在违规,或者侵犯商业秘密、侵犯著作权等,请点击“违规举报”。

碎片内容

高三数学高考第一轮复习——直线与圆锥曲线(理)人教实验A版 知识精讲

您可能关注的文档

确认删除?
VIP
微信客服
  • 扫码咨询
会员Q群
  • 会员专属群点击这里加入QQ群
客服邮箱
回到顶部