电脑桌面
添加小米粒文库到电脑桌面
安装后可以在桌面快捷访问

高三数学解析几何大题专项训练VIP免费

高三数学解析几何大题专项训练_第1页
1/9
高三数学解析几何大题专项训练_第2页
2/9
高三数学解析几何大题专项训练_第3页
3/9
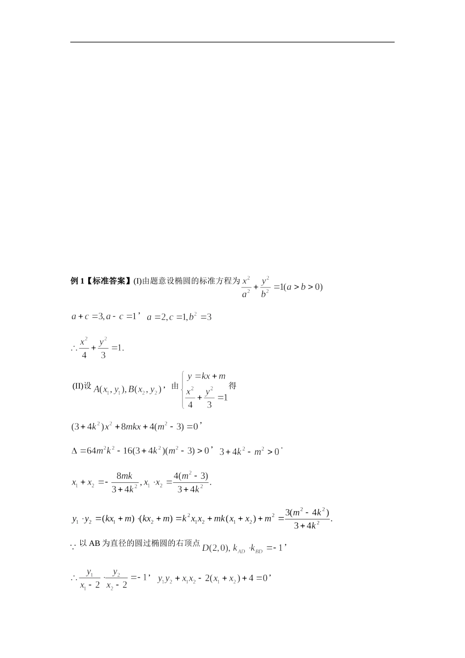
解析几何大题专项训练由于解析几何大题重点考察直线与圆锥曲线的几何性质和交叉知识的综合应用,涉及的内容丰富,易于纵横联系,对于考察学生的数学素质,综合解答问题的能力和继续学习能力有着重要的作用。同时,解析几何大题又是学生的一大难点,经常是入题容易,出来难。因此加大解析几何大题的专题训练很有必要。例1、山东07年(21)(本小题满分13分)已知椭圆C的中心在坐标原点,焦点在轴上,椭圆C上的点到焦点的距离的最大值为3,最小值为1.(I)求椭圆C的标准方程;(II)若直线与椭圆C相交于A,B两点(A,B不是左右顶点),且以AB为直径的圆过椭圆C的右顶点.求证:直线过定点,并求出该定点的坐标.例2、湖北(本小题满分12分)在平面直角坐标系中,过定点作直线与抛物线()相交于两点.(I)若点是点关于坐标原点的对称点,求面积的最小值;(II)是否存在垂直于轴的直线,使得被以为直径的圆截得的弦长恒为定值?若存在,求出的方程;若不存在,说明理由.例3、(本小题满分13分)如图,设抛物线的准线与轴交于,焦点为;以为焦点,离心率的椭圆与抛物线在轴上方的一个交点为.(Ⅰ)当时,求椭圆的方程及其右准线的方程;(Ⅱ)在(Ⅰ)的条件下,直线经过椭圆的右焦点,与抛物线交于,如果以线段为直径作圆,试判断点P与圆的位置关系,并说明理由;(Ⅲ)是否存在实数,使得△的边长是连续的自然数,若存在,求出这样的实数;若不存在,请说明理ABxyNCOxyo2FPlA1A2由.例4、(小题满分14分)如图,与抛物线x2=-4y相切于点A(-4,-4)的直线l分别交x轴、y轴于点F、E,过点E作y轴的垂线l0.(I)若以l0为一条准线,中心在坐标原点的椭圆恰与直线l也相切,切点为T,求椭圆的方程及点T的坐标;(II)若直线l与双曲线6x2-λy2=8的两个交点为M、N,且点A为线段MN的中点,又过点E的直线与该双曲线的两支分别交于P、Q两点,记在x轴正方向上的投影为p,且(,求(I)中切点T到直线PQ的距离的最小值.例5、(本小题满分14分)已知椭圆C过点是椭圆的左焦点,P、Q是椭圆C上的两个动点,且|PF|、|MF|、|QF|成等差数列。(1)求椭圆C的标准方程;(2)求证:线段PQ的垂直平分线经过一个定点A;(3)设点A关于原点O的对称点是B,求|PB|的最小值及相应点P的坐标。例1【标准答案】(I)由题意设椭圆的标准方程为,(II)设,由得,,.以AB为直径的圆过椭圆的右顶点,,,,,解得,且满足.当时,,直线过定点与已知矛盾;当时,,直线过定点综上可知,直线过定点,定点坐标为例2、【标准答案】本小题主要考查直线、圆和抛物线等平面解析几何的基础知识,考查综合运用数学知识进行推理运算的能力和解决问题的能力.解法1:(Ⅰ)依题意,点的坐标为,可设,直线的方程为,与联立得消去得.由韦达定理得,.于是.,当时,.(Ⅱ)假设满足条件的直线存在,其方程为,的中点为,与为直径的圆相交于点,的中点为,则,点的坐标为.,,NOACByxNOACByxOl,.令,得,此时为定值,故满足条件的直线存在,其方程为,即抛物线的通径所在的直线.解法2:(Ⅰ)前同解法1,再由弦长公式得,又由点到直线的距离公式得.从而,当时,.(Ⅱ)假设满足条件的直线存在,其方程为,则以为直径的圆的方程为,将直线方程代入得,则.设直线与以为直径的圆的交点为,则有.令,得,此时为定值,故满足条件的直线存在,其方程为,即抛物线的通径所在的直线.例3【标准答案】解:(Ⅰ)设椭圆长半轴为,半焦距为,当时,,. ,∴xyo2FPlA1A2故椭圆方程为,右准线方程为………………………(3分)(Ⅱ)依题意设直线的方程为:,R联立得点P的坐标为.将代入得.设,由韦达定理得.又,因为R,于是的值可能小于零,等于零,大于零,即点可在圆内,圆上或圆外.…………(8分)(Ⅲ)假设存在满足条件的实数,由题设有.又设,有设,对于抛物线,;对于椭圆,,即.由解得,∴,从而.因此,三角形的边长分别是.所以时,能使三角形的边长是连续的自然数.…………(13分)例4【标准答案】解:抛物线,∴直线l的斜率为故直线的l方程为∴点F、E的坐标分别为F(-2,0)、E(0,4).………………………………1分(I) 直线l0的的方程为y=4,∴以l0...

1、当您付费下载文档后,您只拥有了使用权限,并不意味着购买了版权,文档只能用于自身使用,不得用于其他商业用途(如 [转卖]进行直接盈利或[编辑后售卖]进行间接盈利)。
2、本站所有内容均由合作方或网友上传,本站不对文档的完整性、权威性及其观点立场正确性做任何保证或承诺!文档内容仅供研究参考,付费前请自行鉴别。
3、如文档内容存在违规,或者侵犯商业秘密、侵犯著作权等,请点击“违规举报”。

碎片内容

高三数学解析几何大题专项训练

您可能关注的文档

慧源书店+ 关注
实名认证
内容提供者

从事历史教学,热爱教育,高度负责。

确认删除?
VIP
微信客服
  • 扫码咨询
会员Q群
  • 会员专属群点击这里加入QQ群
客服邮箱
回到顶部