电脑桌面
添加小米粒文库到电脑桌面
安装后可以在桌面快捷访问

高三数学天天练习1 文-人教版高三全册数学试题VIP免费

高三数学天天练习1 文-人教版高三全册数学试题_第1页
1/3
高三数学天天练习1 文-人教版高三全册数学试题_第2页
2/3
高三数学天天练习1 文-人教版高三全册数学试题_第3页
3/3
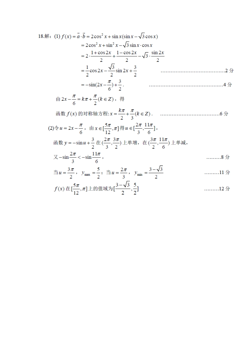
南华中学高2016级文科数学天天练习(1)姓名:一、选择题:1.数列满足,则()A.B.C.D.2.从区间内随机取一个数,则的概率为()A.B.C.D.3.若两个非零向量满足,则向量与的夹角是()A.B.C.D.二、填空题:4.设函数,若曲线在处的切线斜率为1,则;5.已知中,A、B、C的对边分别为,且,则A=;6.如图,在中,是边上一点,则______________.三、解答题:7.已知,设函数。(1)求图像的对称轴方程;(2)求在上的值域。天天练习1——4答案练习1CBC

1、当您付费下载文档后,您只拥有了使用权限,并不意味着购买了版权,文档只能用于自身使用,不得用于其他商业用途(如 [转卖]进行直接盈利或[编辑后售卖]进行间接盈利)。
2、本站所有内容均由合作方或网友上传,本站不对文档的完整性、权威性及其观点立场正确性做任何保证或承诺!文档内容仅供研究参考,付费前请自行鉴别。
3、如文档内容存在违规,或者侵犯商业秘密、侵犯著作权等,请点击“违规举报”。

碎片内容

高三数学天天练习1 文-人教版高三全册数学试题

您可能关注的文档

确认删除?
VIP
微信客服
  • 扫码咨询
会员Q群
  • 会员专属群点击这里加入QQ群
客服邮箱
回到顶部