电脑桌面
添加小米粒文库到电脑桌面
安装后可以在桌面快捷访问

高三数学10月质量检测试题 文-人教版高三全册数学试题VIP免费

高三数学10月质量检测试题 文-人教版高三全册数学试题_第1页
1/8
高三数学10月质量检测试题 文-人教版高三全册数学试题_第2页
2/8
高三数学10月质量检测试题 文-人教版高三全册数学试题_第3页
3/8
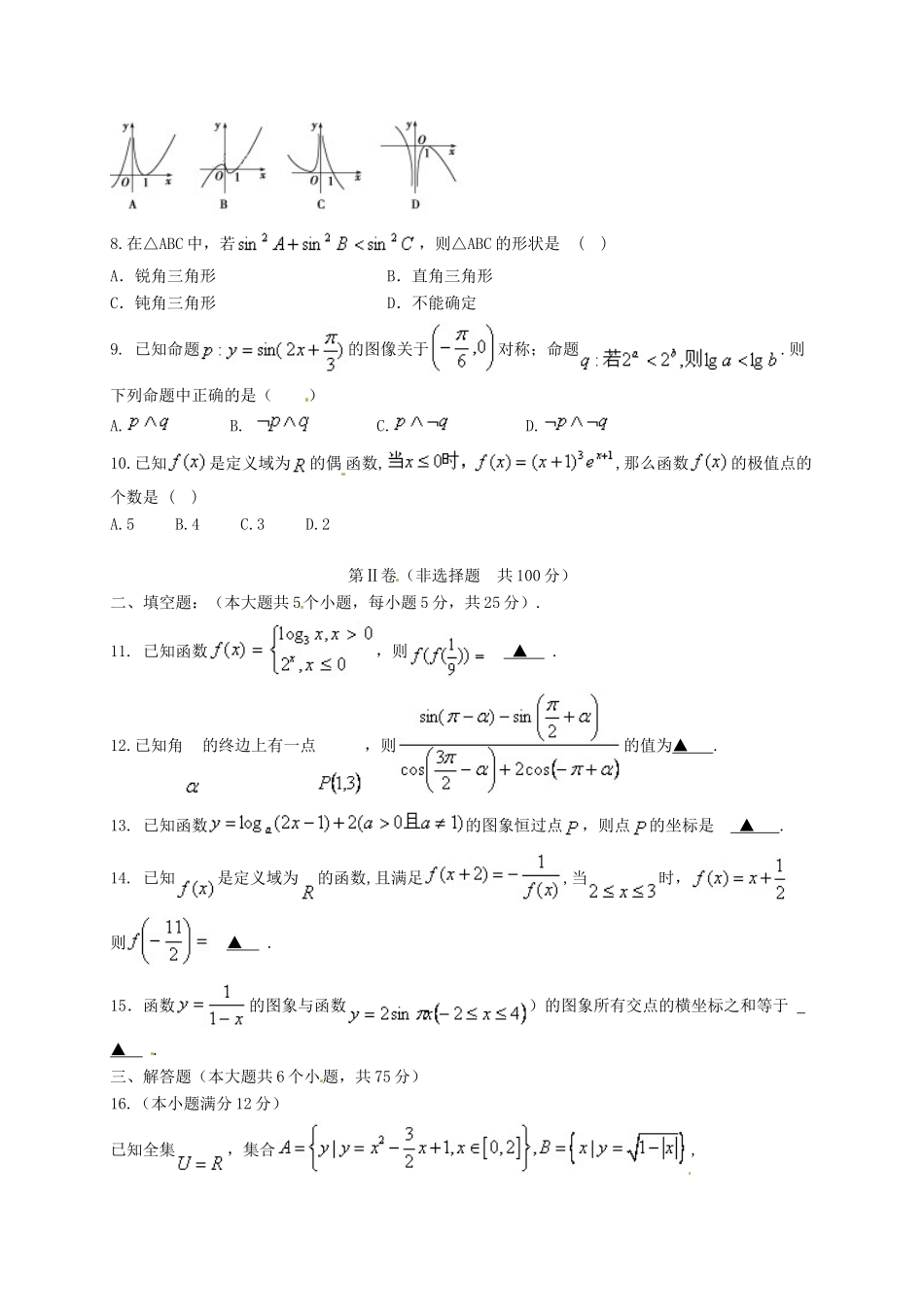
2017届高三10月数学(文)试题第Ⅰ卷(选择题共50分)一、选择题(本大题共10个小题,每小题5分,共50分)1.已知集合,,则为()A.B.C.D.2.己知命题:,则为()A.B.C.D.3.已知幂函数的图象过点,则的值为()A.B.C.D.4.为了得到函数的图象,只需把函数的图象()A.向左平移个单位长度B.向右平移个单位长度C.向左平移个单位长度D.向右平移个单位长度5.下列命题中,真命题是()A..B.命题“若,则”的逆命题.C.,使得.D.命题“若,则”的逆否命题.6.设函数,则“”是“函数为奇函数”的()A.充分而不必要条件B.必要而不充分条件C.充分必要条件D.既不充分也不必要条件7.函数的图象可能为()8.在△ABC中,若,则△ABC的形状是()A.锐角三角形B.直角三角形C.钝角三角形D.不能确定9.已知命题的图像关于对称;命题.则下列命题中正确的是()A.B.C.D.10.已知是定义域为的偶函数,,那么函数的极值点的个数是()A.5B.4C.3D.2第Ⅱ卷(非选择题共100分)二、填空题:(本大题共5个小题,每小题5分,共25分).11.已知函数,则▲.12.已知角的终边上有一点,则的值为▲.13.已知函数的图象恒过点,则点的坐标是▲.14.已知是定义域为的函数,且满足,当时,则▲.15.函数的图象与函数)的图象所有交点的横坐标之和等于▲.三、解答题(本大题共6个小题,共75分)16.(本小题满分12分)已知全集,集合,(I)求:;(Ⅱ)若集合,,,且是的充分条件,求实数的取值范围.17.(本小题满分12分)已知函数的定义域为.(Ⅰ)求实数的取值范围;(Ⅱ)当变化时,若的最小值为,求函数的值域.18.(本小题满分12分)已知函数的最小正周期为.(Ⅰ)求的值及的单调递减区间;(Ⅱ)在锐角中,角所对的边分别为,,,求的面积.19.(本小题满分12分)已知函数.(Ⅰ)求函数的单调区间;(Ⅱ)当]时,恒成立,求实数的取值范围.20.(本小题满分13分)如图,函数(其中)的图象与坐标轴的三个交点为,且,,,为的中点,.(Ⅰ)求的值及的解析式;(Ⅱ)设,求.21.(本小题满分14分)设函数.(Ⅰ)若曲线在点处的切线与直线垂直,求的值;(Ⅱ)求函数的单调区间;(Ⅲ)若函数有两个极值点且,求证:.高三数学(文)参考答案

1、当您付费下载文档后,您只拥有了使用权限,并不意味着购买了版权,文档只能用于自身使用,不得用于其他商业用途(如 [转卖]进行直接盈利或[编辑后售卖]进行间接盈利)。
2、本站所有内容均由合作方或网友上传,本站不对文档的完整性、权威性及其观点立场正确性做任何保证或承诺!文档内容仅供研究参考,付费前请自行鉴别。
3、如文档内容存在违规,或者侵犯商业秘密、侵犯著作权等,请点击“违规举报”。

碎片内容

高三数学10月质量检测试题 文-人教版高三全册数学试题

您可能关注的文档

慧源书店+ 关注
实名认证
内容提供者

从事历史教学,热爱教育,高度负责。

相关文档

确认删除?
VIP
微信客服
  • 扫码咨询
会员Q群
  • 会员专属群点击这里加入QQ群
客服邮箱
回到顶部