电脑桌面
添加小米粒文库到电脑桌面
安装后可以在桌面快捷访问

福建省长泰一中高考数学一轮复习《对数函数》教案VIP免费

福建省长泰一中高考数学一轮复习《对数函数》教案_第1页
1/5
福建省长泰一中高考数学一轮复习《对数函数》教案_第2页
2/5
福建省长泰一中高考数学一轮复习《对数函数》教案_第3页
3/5
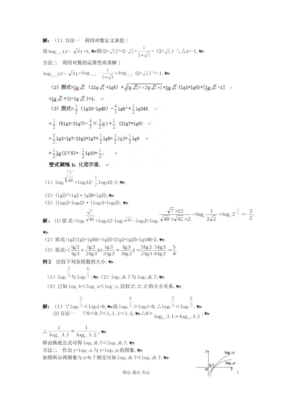
福建省长泰一中高考数学一轮复习《对数函数》教案1.对数:⑤.例1计算:(1)(2)2(lg)2+lg·lg5+;(3)lg-lg+lg.用心爱心专心1基础过关典型例题解:(1)方法一利用对数定义求值设=x,则(2+)x=2-==(2+)-1,∴x=-1.方法二利用对数的运算性质求解==(2+)-1=-1.(1)log2+log212-log242-1;(2)(lg2)2+lg2·lg50+lg25;(3)(log32+log92)·(log43+log83).解:(1)原式=log2+log212-log2-log22=log2(2)原式=lg2(lg2+lg50)+lg25=2lg2+lg25=lg100=2.(3)原式=(例2比较下列各组数的大小.(1)log3与log5;(2)log1.10.7与log1.20.7;(3)已知logb<loga<logc,比较2b,2a,2c的大小关系.解:(1)∵log3<log31=0,而log5>log51=0,∴log3<log5.(2)方法一∵0<0.7<1,1.1<1.2,∴0>,∴,即由换底公式可得log1.10.7<log1.20.7.方法二作出y=log1.1x与y=log1.2x的图象.如图所示两图象与x=0.7相交可知log1.10.7<log1.20.7.用心爱心专心2(3)∵y=为减函数,且,∴b>a>c,而y=2x是增函数,∴2b>2a>2c.变式训练2:已知0<a<1,b>1,ab>1,则loga的大小关系是()A.logaB.C.D.解:C例3已知函数f(x)=logax(a>0,a≠1),如果对于任意x∈[3,+∞)都有|f(x)|≥1成立,试求a的取值范围.解:当a>1时,对于任意x∈[3,+∞),都有f(x)>0.所以,|f(x)|=f(x),而f(x)=logax在[3,+∞)上为增函数,∴对于任意x∈[3,+∞),有f(x)≥loga3.因此,要使|f(x)|≥1对于任意x∈[3,+∞)都成立.只要loga3≥1=logaa即可,∴1<a≤3.当0<a<1时,对于x∈[3,+∞),有f(x)<0,∴|f(x)|=-f(x).∵f(x)=logax在[3,+∞)上为减函数,∴-f(x)在[3,+∞)上为增函数.∴对于任意x∈[3,+∞)都有|f(x)|=-f(x)≥-loga3.因此,要使|f(x)|≥1对于任意x∈[3,+∞)都成立,只要-loga3≥1成立即可,∴loga3≤-1=loga,即≤3,∴≤a<1.综上,使|f(x)|≥1对任意x∈[3,+∞)都成立的a的取值范围是:(1,3]∪[,1).变式训练3:已知函数f(x)=log2(x2-ax-a)在区间(-∞,1-]上是单调递减函数.求实数a的取值范围.解:令g(x)=x2-ax-a,则g(x)=(x-)2-a-,由以上知g(x)的图象关于直线x=对称且此抛物线开口向上.因为函数f(x)=log2g(x)的底数2>1,在区间(-∞,1-]上是减函数,所以g(x)=x2-ax-a在区间(-∞,1-]上也是单调减函数,且g(x)>0.∴解得2-2≤a<2.故a的取值范围是{a|2-2≤a<2}.用心爱心专心3例4已知过原点O的一条直线与函数y=log8x的图象交于A、B两点,分别过A、B作y轴的平行与函数y=log2x的图象交于C、D两点.(1)证明:点C、D和原点O在同一直线上;(2)当BC平行于x轴时,求点A的坐标.(1)证明设点A、B的横坐标分别为x1、x2,由题设知x1>1,x2>1,则点A、B的纵坐标分别为log8x1、log8x2.因为A、B在过点O的直线上,所以点C、D的坐标分别为(x1,log2x1)、(x2,log2x2),由于log2x1==3log8x1,log2x2=3log8x2,OC的斜率为k1=,OD的斜率为由此可知k1=k2,即O、C、D在同一直线上.(2)解:由于BC平行于x轴,知log2x1=log8x2,即得log2x1=log2x2,x2=x31,代入x2log8x1=x1log8x2,得x31log8x1=3x1log8x1,由于x1>1,知log8x1≠0,故x31=3x1,又因x1>1,解得x1=,于是点A的坐标为(,log8).变式训练4:已知函数f(x)=log2+log2(x-1)+log2(p-x).(1)求f(x)的定义域;(2)求f(x)的值域.解:(1)f(x)有意义时,有由①、②得x>1,由③得x<p,因为函数的定义域为非空数集,故p>1,f(x)的定义域是(1,p).(2)f(x)=log2[(x+1)(p-x)]=log2[-(x-)2+](1<x<p),①当1<<p,即p>3时,0<-(x-,∴log2≤2log2(p+1)-2.②当≤1,即1<p≤3时,∵0<-(x-用心爱心专心4∴log2<1+log2(p-1).综合①②可知:当p>3时,f(x)的值域是(-∞,2log2(p+1)-2];当1<p≤3时,函数f(x)的值域是(-∞,1+log2(p-1)).1.处理对数函数的有关问题,要紧密联系函数图象,运用数形结合的思想进行求解.2.对数函数值的变化特点是解决含对数式问题时使用频繁的关键知识,要达到熟练、运用自如的水平,使用时常常要结合对数的特殊值共同分析.3.含有参数的指对数函数的讨论问题是重点题型,解决这类问题最基本的分类方案是以“底”大于1或小于1分类.4.含有指数、对数的较复杂的函数问题大多数都以综合形式出现,与其它函数(特别是二次函数)形成的函数问题,与方程、不等式、数列等内容形成的各类综合问题等等,因此要注意知识的相互渗透或综合.用心爱心专心5小结归纳

1、当您付费下载文档后,您只拥有了使用权限,并不意味着购买了版权,文档只能用于自身使用,不得用于其他商业用途(如 [转卖]进行直接盈利或[编辑后售卖]进行间接盈利)。
2、本站所有内容均由合作方或网友上传,本站不对文档的完整性、权威性及其观点立场正确性做任何保证或承诺!文档内容仅供研究参考,付费前请自行鉴别。
3、如文档内容存在违规,或者侵犯商业秘密、侵犯著作权等,请点击“违规举报”。

碎片内容

福建省长泰一中高考数学一轮复习《对数函数》教案

您可能关注的文档

慧源书店+ 关注
实名认证
内容提供者

从事历史教学,热爱教育,高度负责。

确认删除?
VIP
微信客服
  • 扫码咨询
会员Q群
  • 会员专属群点击这里加入QQ群
客服邮箱
回到顶部