电脑桌面
添加小米粒文库到电脑桌面
安装后可以在桌面快捷访问

安徽省淮北市第五中学高考数学总复习 等差、等比数列前n项和知识梳理VIP免费

安徽省淮北市第五中学高考数学总复习 等差、等比数列前n项和知识梳理_第1页
1/8
安徽省淮北市第五中学高考数学总复习 等差、等比数列前n项和知识梳理_第2页
2/8
安徽省淮北市第五中学高考数学总复习 等差、等比数列前n项和知识梳理_第3页
3/8
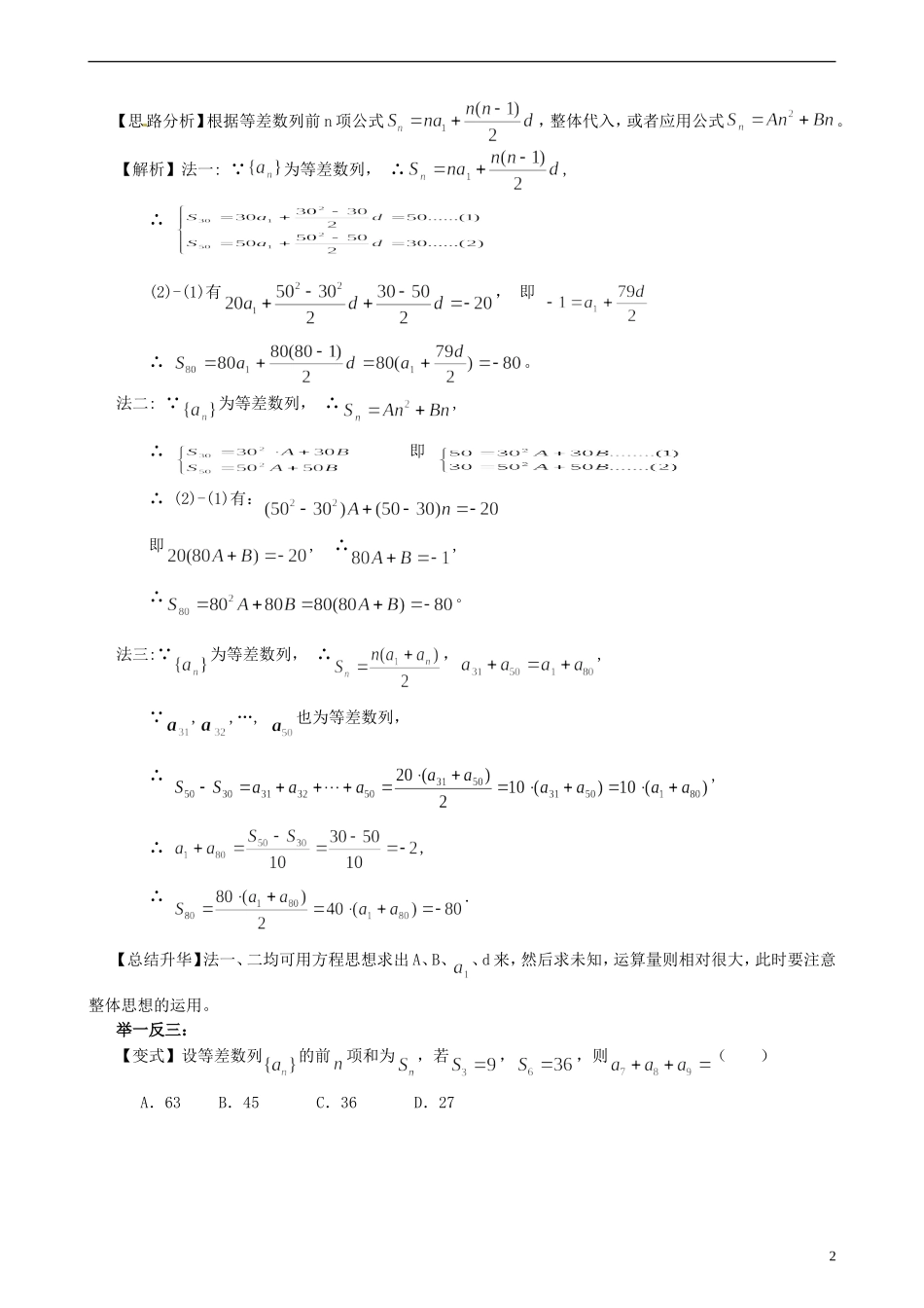
安徽省淮北市第五中学高考数学总复习等差、等比数列前n项和知识梳理【知识网络】【考点梳理】【高清课堂:数列的求和问题388559知识要点】知识点一:数列的前项和的相关公式1.等差数列的前项和公式:(为常数)当时,Sn是关于n的二次式且常数项为0;当d=0时(a1≠0),Sn=na1是关于n的正比例式.2.等比数列的前项和公式:当时,,,当时,3.任意数列的第项与前项和之间的关系式:【典型例题】类型一:等差数列的前n项和公式及其性质例1.等差数列的前30项之和为50,前50项之和为30,求。等差、等比数列的前n项和等比数列的求和公式等差数列的求和公式1【思路分析】根据等差数列前n项公式,整体代入,或者应用公式。【解析】法一: 为等差数列,∴,∴(2)-(1)有,即∴。法二: 为等差数列,∴,∴即∴(2)-(1)有:即,∴,∴。法三: 为等差数列,∴,, ,,…,也为等差数列,∴,∴,∴.【总结升华】法一、二均可用方程思想求出A、B、、d来,然后求未知,运算量则相对很大,此时要注意整体思想的运用。举一反三:【变式】设等差数列的前项和为,若,,则()A.63B.45C.36D.272【解析】法一:依据已知有:即解得,所以。法二:依据等差数列的性质有:连续三项和也成等差数列、、成等差数列,所以,有,故选B例2.已知两等差数列、的前n项和分别为、,且,试求。【思路分析】需要把所求的等差数列的项的比值的问题转化为前n项和的比值的问题。【解析】法一: ,∴。法二:由题设,令, ,∴,又 ,∴,∴.【总结升华】由于等差数列中,所以已知等差数列、的前n项和分别为和,则(1),(2)。举一反三:【变式1】等差数列中,若,则_________.【解析】由,得.3【变式2】已知两等差数列、的前项和分别为、,且,则=.【解析】.类型二:等差数列求和公式的应用【高清课堂:等差数列382420典型例题三】例3.设为数列的前n项和,且.求证:数列为等差数列.【思路分析】判断一个数列是否等差数列,可以参考考点梳理中罗列的方法。证明:由得,所以整理得,又得相减并整理得:所以数列是个等差数列举一反三:【变式1】设{an}是等差数列,证明以bn=(n∈N*)为通项公式的数列{bn}是等差数列.证法一:设等差数列{an}的公差是d(常数),当n≥2时,=-====(常数)∴{bn}是等差数列.证法二:等差数列{an}的前n项和,∴bn=∴{bn}是等差数列.【总结升华】判断或证明数列是等差数列的方法有:(1)定义法:an+1-an=d(常数)(n∈N*){an}是等差数列;(2)中项公式法:2an+1=an+an+2(n∈N*){an}是等差数列;4(3)通项公式法:an=kn+b(k、b是常数)(n∈N*){an}是等差数列;(4)前n项和公式法:Sn=An2+Bn(A、B是常数)(n∈N*){an}是等差数列.【变式2】已知数列{an},an∈N*,Sn=,求证:{an}是等差数列;【答案】an+1=Sn+1–Sn,∴8an+1=,∴,∴, an∈N*,∴,∴,即,∴数列{an}是等差数列.例4.等差数列的前n项和为,若,,.(1)求公差d的取值范围;(2)n为何值时,Sn最大,并说明理由。【解析】(1)由又由得代入不等式组∴,解出(2)方法一:由(1)知:且∴数列是递减数列,由得∴即,∴中最后一个正数项是,开始为负数项∴当n=6时,最大.5方法二:由(1)知:且∴数列是递减数列,若要最大,需确定数列中最后一个非负数项是第几项.由∴即,∴由,∴,即,∴,∴∴中最后一个正数项是,开始为负数项∴当n=6时,最大.方法三: d<0,∴当最小时有最大值,当时,∴当n=6时最小,即最大,方法四:是等差数列,故设,如图所示 ,,∴抛物线与x轴的另一个交点在n=12与n=13之间。∴对称轴l的位置在6与6.5之间,易知n=6对应的A点与对称轴的距离比n=7对应的点B与对称轴的距离要近,故A为最高点,最大。举一反三:【变式】在等差数列中,,,求当为何值时,最小。【解析】法一: ,∴6 ,∴, ,∴∴均为负数,,而以及以后各项都为正数,∴当或时,有最小值为。法二:设数列的公差为,则由,得,即, ,∴,∴,∴当或时,有最小值为。类型三、等比数列的前n项和公式及其性质【高清课堂:数列的概念388518典型例题二】例5.设为等比数列的前n项和,已知,则公比q=()A.3B.4C.5D.6答案:B解析:,两式相减:所以举一反三【变式】等比数列中,若,求....

1、当您付费下载文档后,您只拥有了使用权限,并不意味着购买了版权,文档只能用于自身使用,不得用于其他商业用途(如 [转卖]进行直接盈利或[编辑后售卖]进行间接盈利)。
2、本站所有内容均由合作方或网友上传,本站不对文档的完整性、权威性及其观点立场正确性做任何保证或承诺!文档内容仅供研究参考,付费前请自行鉴别。
3、如文档内容存在违规,或者侵犯商业秘密、侵犯著作权等,请点击“违规举报”。

碎片内容

安徽省淮北市第五中学高考数学总复习 等差、等比数列前n项和知识梳理

您可能关注的文档

确认删除?
VIP
微信客服
  • 扫码咨询
会员Q群
  • 会员专属群点击这里加入QQ群
客服邮箱
回到顶部