电脑桌面
添加小米粒文库到电脑桌面
安装后可以在桌面快捷访问

安徽省淮北市第五中学高考数学总复习 不等式的解法巩固练习VIP免费

安徽省淮北市第五中学高考数学总复习 不等式的解法巩固练习_第1页
1/4
安徽省淮北市第五中学高考数学总复习 不等式的解法巩固练习_第2页
2/4
安徽省淮北市第五中学高考数学总复习 不等式的解法巩固练习_第3页
3/4
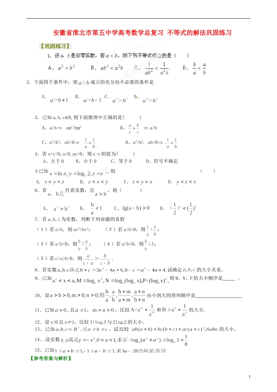
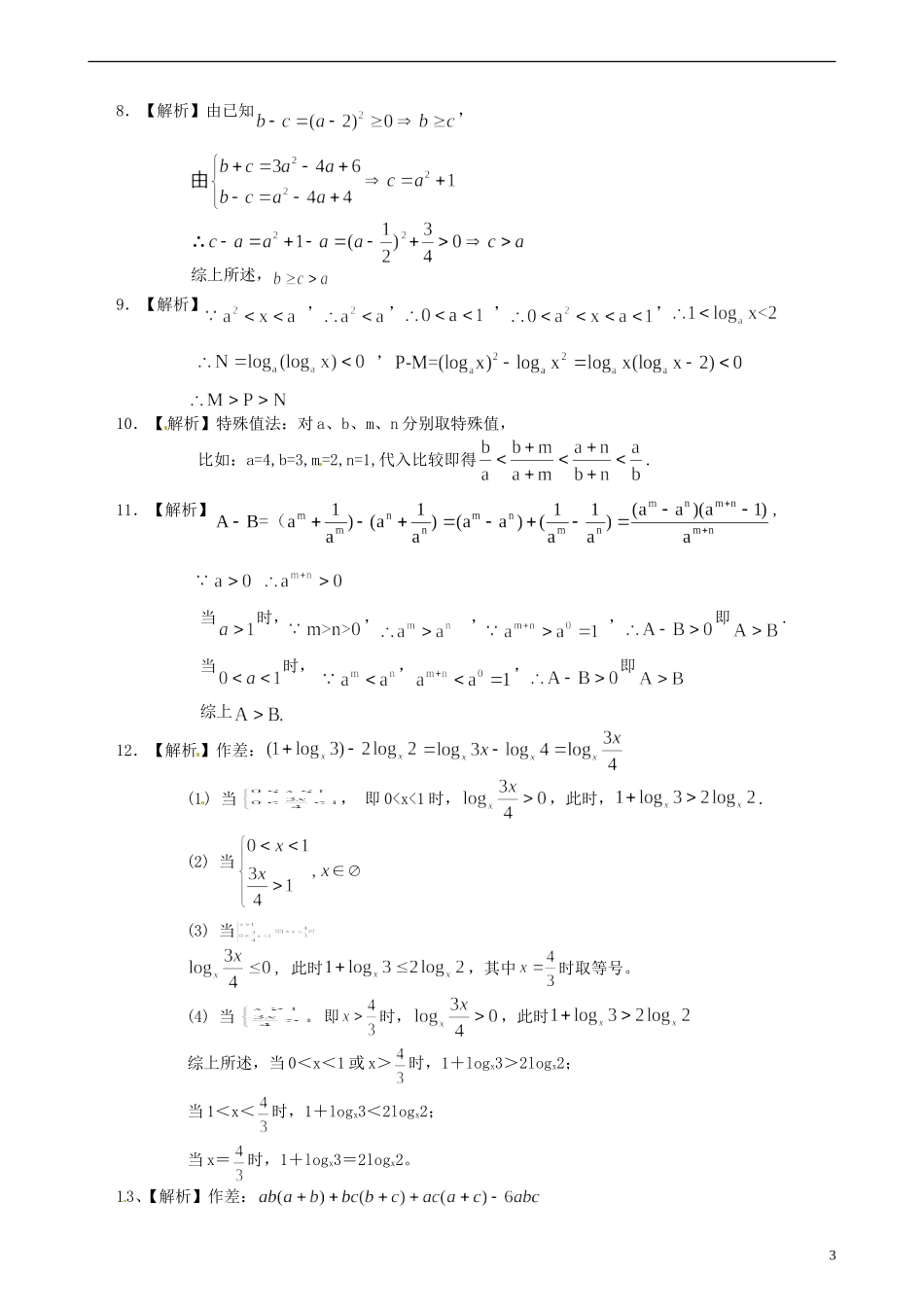
安徽省淮北市第五中学高考数学总复习不等式的解法巩固练习2.下面四个条件中,使成立的充分而不必要的条件是A.B.C.D.3.已知a,b,cR,则下面推理中正确的是()A、a>bam2>bm2B、a>bC、a3>b3,ab>0D、a2>b2,ab>04.若x+y>0,a<0,ay>0,则x-y的值为()A、大于0B、小于0C、等于0D、符号不确定5已知,则()A.B.C.D.6.若任意实数,且,则()A、B、C、D、7.若a,b,c为实数,判断下列命题的真假(1)若a>b,则ac2>bc2;(2)若a;(4)若aa>b>0,则>.8.若实数试确定的大小关系。9.已知则M、N、P的大小顺序是。10.设由小到大的排列顺序是11.已知,且,,比较和的大小.12.设x>0且x≠1,比较1+logx3与2logx2的大小。13、已知,试比较的大小。14、设实数15、已知【参考答案与解析】11.【答案】C【解析】A中,若,,则,,故A不成立;B中,若,,满足,得到,故B不成立;C中,因为是非零实数即,且,所以,即成立;D中,若,,则,,所以不成立。2、【答案】A【解析】即寻找命题使,推不出,逐项验证可选A3、【答案】C【解析】用淘汰法。(A)中若m=0不成立;(B)中若c<0,不成立;(C)中a3-b3>0(a-b)(a2+ab+b2)>0。∵a2+ab+b2>0恒成立,故a-b>0。∴a>b,又∵ab>0,∴<(D)中a2>b2(a+b)(a-b)>0,不能说明a>b,故本题应选(C)。4、【答案】A【解析】用直接法。∵a<0,ay>0y<0,又∵x+y>0x>0,∴x-y=x+(-y)>0。故本题应选(A)。5、【答案】D【解析】,,,故选答案D.6、【答案】D【解析】∵a>b且y=为单减函数,故,故选D,因不知道a,b的正负,故可排除A、B、C选项。7、【解析】(1)∵c2≥0,当c=0时ac2=bc2=0,故原命题为假命题。(2)举特例-2<-1<0但->-1,故原命题为假命题。(3)由于a|b|>0,∴<1,∴<1,故原命题为真命题.(5)∵c>a>b>0,∴,∴c-b>c-a>0,∴>>0,又∵a>b>0,∴>,故原命题为真命题.28.【解析】由已知,∴综上所述,9.【解析】,,,,,10.【解析】特殊值法:对a、b、m、n分别取特殊值,比如:a=4,b=3,m=2,n=1,代入比较即得.11.【解析】,当时,,,,即.当时,,,即综上12.【解析】作差:(1)当,即00,即14、【解析】∵,且∴又∵∴。15、【解析】令∴∵∴∴即4

1、当您付费下载文档后,您只拥有了使用权限,并不意味着购买了版权,文档只能用于自身使用,不得用于其他商业用途(如 [转卖]进行直接盈利或[编辑后售卖]进行间接盈利)。
2、本站所有内容均由合作方或网友上传,本站不对文档的完整性、权威性及其观点立场正确性做任何保证或承诺!文档内容仅供研究参考,付费前请自行鉴别。
3、如文档内容存在违规,或者侵犯商业秘密、侵犯著作权等,请点击“违规举报”。

碎片内容

安徽省淮北市第五中学高考数学总复习 不等式的解法巩固练习

您可能关注的文档

确认删除?
VIP
微信客服
  • 扫码咨询
会员Q群
  • 会员专属群点击这里加入QQ群
客服邮箱
回到顶部