电脑桌面
添加小米粒文库到电脑桌面
安装后可以在桌面快捷访问

高中数学 第二章 平面向量 2.3 平面向量的数量积 2.3.3 向量数量积的坐标运算与度量公式练习 新人教B版必修4-新人教B版高一必修4数学试题VIP免费

高中数学 第二章 平面向量 2.3 平面向量的数量积 2.3.3 向量数量积的坐标运算与度量公式练习 新人教B版必修4-新人教B版高一必修4数学试题_第1页
1/5
高中数学 第二章 平面向量 2.3 平面向量的数量积 2.3.3 向量数量积的坐标运算与度量公式练习 新人教B版必修4-新人教B版高一必修4数学试题_第2页
2/5
高中数学 第二章 平面向量 2.3 平面向量的数量积 2.3.3 向量数量积的坐标运算与度量公式练习 新人教B版必修4-新人教B版高一必修4数学试题_第3页
3/5
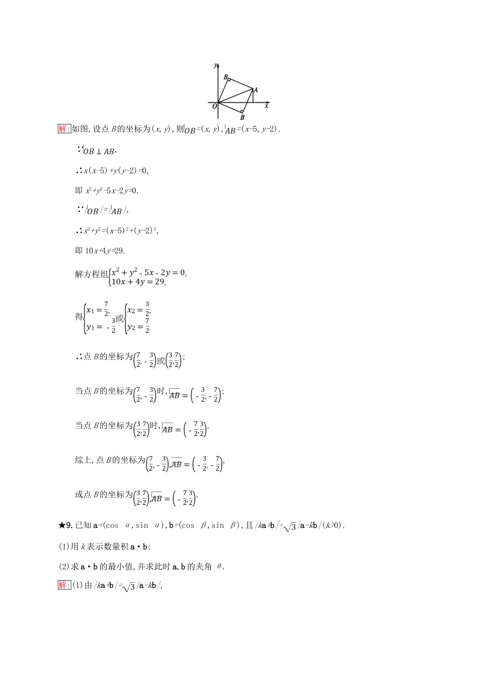
2.3.3向量数量积的坐标运算与度量公式课时过关·能力提升1.已知a=(2,-3),b=(1,-2),且c⊥a,b·c=1,则c的坐标为()A.(3,-2)B.(3,2)C.(-3,-2)D.(-3,2)解析:设c=(x,y),则有解得故c=(-3,-2).答案:C2.已知m=(a,b),向量n与m垂直,且|m|=|n|,则n的坐标为()A.(b,-a)B.(-a,b)C.(-a,b)或(a,-b)D.(b,-a)或(-b,a)答案:D3.已知点A(1,2),B(4,0),C(8,6),D(5,8),则四边形ABCD是()A.梯形B.矩形C.菱形D.正方形解析:由已知得=(3,-2),=(4,6),=(-3,2),所以,且=0,即,所以四边形ABCD是矩形.答案:B4.已知向量a=(cosθ,sinθ),b=(3,0),则|2a-b|的最大值为()A.4B.2C.25D.5解析:|2a-b|=,因此当cos<2a,b>=-1时,|2a-b|取得最大值5.答案:D5.在Rt△ABC中,∠C=,AC=3,取点D使=2,则等于()A.3B.4C.5D.6解析:以C为原点,分别以CA,CB所在直线为x轴、y轴,建立如图所示的平面直角坐标系,设CB=a,∴C(0,0),A(3,0),B(0,a).设D点坐标为(m,n),∵=2,即(m,n-a)=2(3-m,-n),得m=2,n=.∴·(3,0)=6,故选D.答案:D6.已知O为坐标原点,=(3,1),=(-1,2),,则满足的向量的坐标为.答案:(11,6)7.设O为原点,已知点A(a,0),B(0,a)(a>0),点P在线段AB上,且=t(0≤t≤1),则的最大值为.解析:·()=·(+t)=+t=a2+t(a,0)·(-a,a)=a2+t(-a2+0)=(1-t)a2.∵0≤t≤1,∴0≤1-t≤1,∴的最大值为a2.答案:a28.以原点及点A(5,2)为顶点作等腰直角三角形OAB,使∠B=90°,求点B和向量的坐标.解:如图,设点B的坐标为(x,y),则=(x,y),=(x-5,y-2).∵,∴x(x-5)+y(y-2)=0,即x2+y2-5x-2y=0.∵||=||,∴x2+y2=(x-5)2+(y-2)2,即10x+4y=29.解方程组得∴点B的坐标为;当点B的坐标为时,;当点B的坐标为时,.综上,点B的坐标为,或点B的坐标为.★9.已知a=(cosα,sinα),b=(cosβ,sinβ),且|ka+b|=|a-kb|(k>0).(1)用k表示数量积a·b;(2)求a·b的最小值,并求此时a,b的夹角θ.解:(1)由|ka+b|=|a-kb|,得(ka+b)2=3(a-kb)2,∴k2a2+2ka·b+b2=3a2-6ka·b+3k2b2.∴(k2-3)a2+8ka·b+(1-3k2)b2=0.∵|a|=1,|b|=1,∴k2-3+8ka·b+1-3k2=0,∴a·b=.(2)由(1),得a·b=,由函数的单调性的定义,易知f(k)=在(0,1]上单调递减,在[1,+∞)上单调递增,故当k=1时,a·b的最小值为f(1)=×(1+1)=.此时a,b的夹角为θ,则cosθ=,∴θ=60°.★10.如图,=(6,1),=(x,y),=(-2,-3),.(1)求x与y的关系式;(2)若,求x,y的值及四边形ABCD的面积.解:(1)∵=(6,1)+(x,y)+(-2,-3)=(x+4,y-2),∴=-=(-x-4,2-y).∵=(x,y),∴x(2-y)-(-x-4)y=0,∴x与y的关系式为x+2y=0.(2)因为=(6,1)+(x,y)=(x+6,y+1),=(x,y)+(-2,-3)=(x-2,y-3).∵,∴=0,即(x+6)(x-2)+(y+1)(y-3)=0.又由(1)的结论x+2y=0,得(6-2y)(-2y-2)+(y+1)(y-3)=0.化简,得y2-2y-3=0.∴y=3或y=-1.①当y=3时,x=-6,于是=(-6,3),=(0,4),=(-8,0).∴||=4,||=8.∴S四边形ABCD=|||=16.②当y=-1时,x=2,于是有=(2,-1),=(8,0),=(0,-4),∴||=8,||=4.∴S四边形ABCD=|||=16.综上,四边形ABCD的面积为16.

1、当您付费下载文档后,您只拥有了使用权限,并不意味着购买了版权,文档只能用于自身使用,不得用于其他商业用途(如 [转卖]进行直接盈利或[编辑后售卖]进行间接盈利)。
2、本站所有内容均由合作方或网友上传,本站不对文档的完整性、权威性及其观点立场正确性做任何保证或承诺!文档内容仅供研究参考,付费前请自行鉴别。
3、如文档内容存在违规,或者侵犯商业秘密、侵犯著作权等,请点击“违规举报”。

碎片内容

高中数学 第二章 平面向量 2.3 平面向量的数量积 2.3.3 向量数量积的坐标运算与度量公式练习 新人教B版必修4-新人教B版高一必修4数学试题

您可能关注的文档

海博书城+ 关注
实名认证
内容提供者

从事历史教学,热爱教育,高度负责。

确认删除?
VIP
微信客服
  • 扫码咨询
会员Q群
  • 会员专属群点击这里加入QQ群
客服邮箱
回到顶部