电脑桌面
添加小米粒文库到电脑桌面
安装后可以在桌面快捷访问

高中数学 1.1.1《正弦定理和余弦定理》同步练习 新人教A版必修5高一VIP免费

高中数学 1.1.1《正弦定理和余弦定理》同步练习 新人教A版必修5高一_第1页
1/2
高中数学 1.1.1《正弦定理和余弦定理》同步练习 新人教A版必修5高一_第2页
2/2
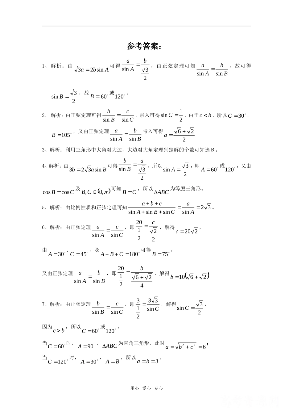
1.1.1正弦定理作业1、在ABC中,若Abasin23,则B等于()A.30B.60C.30或150D.60或1202、在ABC中,已知45,1,2Bcb,则a等于()A.226B.226C.12D.233、不解三角形,确定下列判断中正确的是()A.30,14,7Aba,有两解B.150,25,30Aba,有一解C.45,9,6Aba,有两解D.60,10,9Acb,无解4、在ABC中,已知Babsin323,CBcoscos,则ABC的形状是()A.直角三角形B.等腰三角形C.等边三角形D.等腰直角三角形5、在ABC中,60A,3a,则CBAcbasinsinsin()A.338B.3392C.3326D.326、在ABC中,已知30A,45C20a,解此三角形。7、在ABC中,已知30,33,3Bcb,解此三角形。用心爱心专心参考答案:1、解析:由Abasin23可得23sinbAa,由正弦定理可知BbAasinsin,故可得23sinB,故B60或120。2、解析:由正弦定理可得CcBbsinsin,带入可得21sinC,由于bc,所以30C,105B,又由正弦定理BbAasinsin带入可得226a3、解析:利用三角形中大角对大边,大边对大角定理判定解的个数可知选B。4、解析:由Babsin323可得23sinaBb,所以23sinA,即60A或120,又由CBcoscos及,0,CB可知CB,所以ABC为等腰三角形。5、解析:由比例性质和正弦定理可知32sinsinsinsinAaCBAcba。6、解析:由正弦定理CcAasinsin,即222120c,解得220c,由30A,45C,及180CBA可得75B,又由正弦定理BbAasinsin,即4262120b,解得2610b7、解析:由正弦定理CcBbsinsin,即Csin33213,解得23sinC,因为bc,所以60C或120,当60C时,90A,ABC为直角三角形,此时622cba;当120C时,30A,BA,所以3ba。用心爱心专心

1、当您付费下载文档后,您只拥有了使用权限,并不意味着购买了版权,文档只能用于自身使用,不得用于其他商业用途(如 [转卖]进行直接盈利或[编辑后售卖]进行间接盈利)。
2、本站所有内容均由合作方或网友上传,本站不对文档的完整性、权威性及其观点立场正确性做任何保证或承诺!文档内容仅供研究参考,付费前请自行鉴别。
3、如文档内容存在违规,或者侵犯商业秘密、侵犯著作权等,请点击“违规举报”。

碎片内容

高中数学 1.1.1《正弦定理和余弦定理》同步练习 新人教A版必修5高一

您可能关注的文档

确认删除?
VIP
微信客服
  • 扫码咨询
会员Q群
  • 会员专属群点击这里加入QQ群
客服邮箱
回到顶部