电脑桌面
添加小米粒文库到电脑桌面
安装后可以在桌面快捷访问

高一数学第一册下册第五章平面向量人教版VIP免费

高一数学第一册下册第五章平面向量人教版_第1页
1/10
高一数学第一册下册第五章平面向量人教版_第2页
2/10
高一数学第一册下册第五章平面向量人教版_第3页
3/10
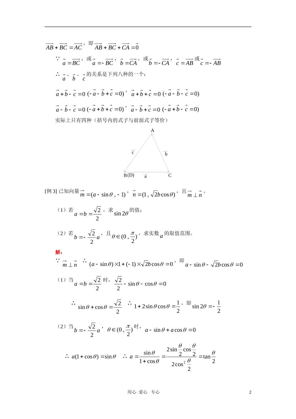
高一数学第一册下册第五章平面向量人教版【本讲教育信息】一.教学内容:平面向量二.教学重、难点向量的加、减法、实数与向量的积、向量的数量积、向量与三角的综合【典型例题】[例1](1)已知ABC的三个顶点A、B、C及平面内一点P,且ABPCPBPA,则点P与ABC的位置关系是?(2)已知)2,(a,)5,3(b,且a与b的夹角为钝角,则的取值范围为?解:(1)APBPABPBABPCPA∴APPC2,故P在AC边上(2) babacos且a与b的夹角为钝角。∴0103ba,即310且65,56∴310[例2]设a、b、c是两两不共线的三个向量。(1)如果0cba,试证:以向量a、b、c的模为边,必能构成一个三角形;(2)如果向量a、b、c能构成一个三角形,问它们应该有怎样的关系?证明:(1)如图,作aBC,bCA,cAD,按向量加法的多边形法则有CABCBD0cbaAD∴B与D重合,故a、b、c可构成三角形解:(2)设向量a、b、c构成三角形ABC,根据向量加法的三角形法则,有用心爱心专心1ACBCAB,即0CABCAB BCa,或BCa,CAb,或CAb,ABc或ABc∴a、b、c的关系是下列八种的一个:0cba)0(cba,0cba)0(cba0cba)0(cba,0cba)0(cba实际上只有四种(括号内的式子与前面式子等价)ABCacb(D)[例3]已知向量)1,sin(am,)cos2,1(bn,且nm。(1)若22ba,求2sin的值;(2)若ab22,且)2,0(,求实数a的取值范围。解: nm∴0cos2)1(1)sin(ba,即0cos2sinba(1)当22ba时,0cossin22∴22cossin∴21cossin21,即212sin(2)当ab22,)2,0(时,0cossinaa∴sin)cos1(a∴2tan2cos22cos2sin2cos1sin2a用心爱心专心2 )2,0(∴)4,0(2,从而)1,0(2tan,即a的取值范围为)1,0(。[例4]在ABC中,AB上有一点P(P点不与A、B重合),O是AB所在直线外一点,且OByOAxOP,(x、y为非零实数)。求证:1yx,且PBxyAP证明:设PBAP)0(,则)()(OPOBOAOP从而OBOAOP111,又已知OByOAxOP∴11x,1y∴1111yx,xy,即PBxyAP[例5]如图所示,)1,6(AB,),(yxBC,)3,2(CD。(1)若DABC//,求x与y间的关系。(2)若有BDAC,求x、y的值及四边形ABCD的面积。OBCAD解:(1) 0DACDBCAB即ADyx)3,2(),()1,6(∴)2,4(yxAD,又DABC//∴0)4()2(xyyx整理,得02yx①(2)由)1,6()3,2()2,4(yxyxDCADAC)3,2()2,4()1,6(yxyxADBABD又BDAC∴0)1)(3()6)(2(yyxx用心爱心专心3即:0152422yxyx②解①、②组成的方程组,得36yx或12yx四边形ABCD的面积:COBDAOBDS2121ACBD21当36yx时,)0,8(BD,)4,0(AC164821S当12yx时,)4,0(BD,)0,8(AC168421S[例6]已知平面上三个向量a、b、c的模均为1,它们相互之间的夹角均为120。(1)求证:cba)(;(2)若1cbak)(Rk,求实数k的取值范围。解:(1) 1cba,且a、b、c之间的夹角均为120。∴0120cos120cos)(cbcacbcacba∴cba)((2) 1cbak∴12cbak 1)()(cbakcbak∴12222cbcakbakccbbaak 21120coscbcaba∴022kk解得0k或2k[例7]如图,已知ABC顶点A、B、C的坐标分别为)7,2(、)2,14(、)10,13(。(1)求边AB上的中线之长;(2)求AC在AB上的射影;用心爱心专心4(3)求ABC的面积。A(2,7)yO(13,10)C(14,2)BDE解:(1)设E是AB的中点,由线段定比分点的中点公式,得)(21CBCACE)]8,1()3,11[(21)11,10(21∴22121CE(2)设向量AC与AB的夹角为,则AC在BC上的射...

1、当您付费下载文档后,您只拥有了使用权限,并不意味着购买了版权,文档只能用于自身使用,不得用于其他商业用途(如 [转卖]进行直接盈利或[编辑后售卖]进行间接盈利)。
2、本站所有内容均由合作方或网友上传,本站不对文档的完整性、权威性及其观点立场正确性做任何保证或承诺!文档内容仅供研究参考,付费前请自行鉴别。
3、如文档内容存在违规,或者侵犯商业秘密、侵犯著作权等,请点击“违规举报”。

碎片内容

高一数学第一册下册第五章平面向量人教版

您可能关注的文档

海博书城+ 关注
实名认证
内容提供者

从事历史教学,热爱教育,高度负责。

确认删除?
VIP
微信客服
  • 扫码咨询
会员Q群
  • 会员专属群点击这里加入QQ群
客服邮箱
回到顶部