电脑桌面
添加小米粒文库到电脑桌面
安装后可以在桌面快捷访问

高一数学暑假专题——平面向量的数量积苏教版VIP免费

高一数学暑假专题——平面向量的数量积苏教版_第1页
1/6
高一数学暑假专题——平面向量的数量积苏教版_第2页
2/6
高一数学暑假专题——平面向量的数量积苏教版_第3页
3/6
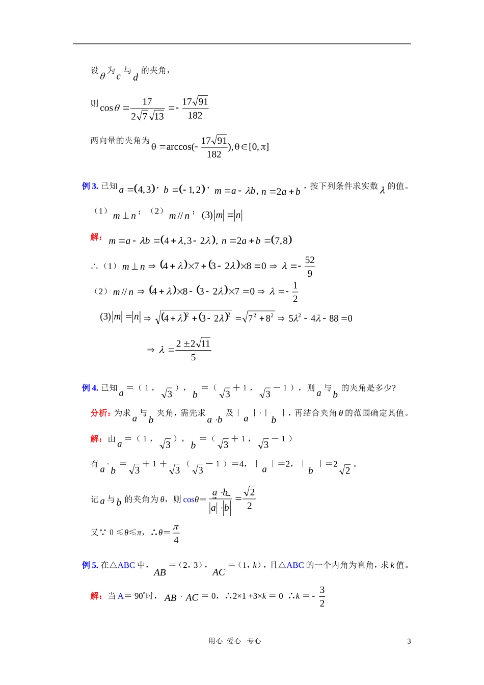
高一数学暑假专题——平面向量的数量积苏教版【本讲教育信息】一.教学内容:暑假专题——平面向量的数量积二.教学目标:掌握平面向量的数量积,了解用平面向量的数量积可以处理有关长度、角度和垂直的问题,掌握向量垂直的条件。三.本周知识要点:1.两个向量的数量积:已知两个非零向量a与b,它们的夹角为,则a·b=︱a︱·︱b︱cos叫做a与b的数量积(或内积),规定00a。2.向量的模与平方的关系:22||aaaa。3.乘法公式成立:2222abababab;2222abaabb222aabb4.平面向量数量积的运算律:①交换律成立:abba②对实数的结合律成立:abababR③分配律成立:abcacbccab特别注意:(1)结合律不成立:abcabc(2)消去律不成立:abac不能得到cb(3)ab=0不能得到a=0或b=05.两个向量的数量积的坐标运算:已知两个向量1122(,),(,)axybxy,则a·b=1212xxyy6.向量的夹角:已知两个非零向量a与b,作OA�=a,OB�=b,则∠AOB=(001800)叫做向量a与b的夹角。用心爱心专心1cos=cos,ababab=222221212121yxyxyyxx当且仅当两个非零向量a与b同方向时,θ=0°,当且仅当a与b反方向时θ=180°,同时0与其它任何非零向量之间不谈夹角这一问题。7.垂直:如果a与b的夹角为90°则称a与b垂直,记作a⊥b。8.两个非零向量垂直的条件:a⊥ba·b=002121yyxx。【典型例题】例1.判断下列各命题正确与否:(1)00a;(2)00a;(3)若0,aabac,则bc;(4)若abac,则bc当且仅当0a时成立;(5)()()abcabc对任意,,abc向量都成立;(6)对任意向量a,有22aa。解:⑴错;⑵对;⑶错;⑷错;⑸错;⑹对。例2.已知两单位向量a与b的夹角为120,若2,3cabdba,试求c与d的夹角。解:由题意,1ab,且a与b的夹角为120,所以,21120cos||||baba,2ccc(2)(2)abab22447aabb,7c,同理可得13d而cd2217(2)(3)7322abbaabba,用心爱心专心2设为c与d的夹角,则1829117137217cos两向量的夹角为],0[),1829117arccos(例3.已知4,3a,1,2b,,mab2nab,按下列条件求实数的值。(1)mn;(2)//mn;(3)mn解:4,32,mab27,8nab(1)mn082374952(2)//mn07238421(3)mn08845872342222251122例4.已知a=(1,3),b=(3+1,3-1),则a与b的夹角是多少?分析:为求a与b夹角,需先求ba及|a|·|b|,再结合夹角θ的范围确定其值。解:由a=(1,3),b=(3+1,3-1)有a·b=3+1+3(3-1)=4,|a|=2,|b|=22。记a与b的夹角为θ,则cosθ=22baba又 0≤θ≤π,∴θ=4例5.在△ABC中,AB�=(2,3),AC�=(1,k),且△ABC的一个内角为直角,求k值。解:当A=90°时,AB�AC�=0,∴2×1+3×k=0∴k=23用心爱心专心3当B=90°时,AB�BC�=0,BC�=AC�AB�=(12,k3)=(1,k3)∴2×(1)+3×(k3)=0∴k=311当C=90°时,AC�BC�=0,∴1+k(k3)=0∴k=2133例6.已知a=(3,4),b=(4,3),求x,y的值使(xa+y...

1、当您付费下载文档后,您只拥有了使用权限,并不意味着购买了版权,文档只能用于自身使用,不得用于其他商业用途(如 [转卖]进行直接盈利或[编辑后售卖]进行间接盈利)。
2、本站所有内容均由合作方或网友上传,本站不对文档的完整性、权威性及其观点立场正确性做任何保证或承诺!文档内容仅供研究参考,付费前请自行鉴别。
3、如文档内容存在违规,或者侵犯商业秘密、侵犯著作权等,请点击“违规举报”。

碎片内容

高一数学暑假专题——平面向量的数量积苏教版

您可能关注的文档

海博书城+ 关注
实名认证
内容提供者

从事历史教学,热爱教育,高度负责。

确认删除?
VIP
微信客服
  • 扫码咨询
会员Q群
  • 会员专属群点击这里加入QQ群
客服邮箱
回到顶部