电脑桌面
添加小米粒文库到电脑桌面
安装后可以在桌面快捷访问

高一数学复习题(NF)册人教A版必修5VIP免费

高一数学复习题(NF)册人教A版必修5_第1页
1/4
高一数学复习题(NF)册人教A版必修5_第2页
2/4
高一数学复习题(NF)册人教A版必修5_第3页
3/4
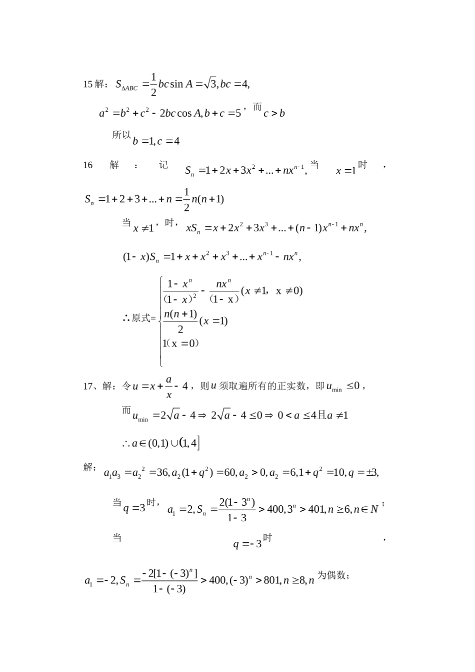
高一数学必修五复习题(NF)1在△ABC中,若1413cos,8,7Cba,则最大角的余弦是()A51B61C71D812在△ABC中,若22tantanbaBA,则△ABC的形状是()A直角三角形B等腰或直角三角形C不能确定D等腰三角形3三角形的三边构成等比数列,它们的公比为q,则q的取值范围是()A15(0,)2B15(,1]2C15[1,)2D)251,251(4等比数列na的各项均为正数,且564718aaaa,则3132310loglog...logaaa()A12B10C31log5D32log55设nS是等差数列na的前n项和,若5935,95SSaa则()A1B1C2D212()A1yxxB1sinsinyxx,(0,)2xC2232xyxD21yxx7新疆源头学子小屋特级教师王新敞http://www.xjktyg.com/wxc/wxckt@126.comwxckt@126.comhttp://www.xjktyg.com/wxc/王新敞特级教师源头学子小屋新疆若方程05)2(2mxmx只有正根,则m取值范围是()A新疆源头学子小屋特级教师王新敞http://www.xjktyg.com/wxc/wxckt@126.comwxckt@126.comhttp://www.xjktyg.com/wxc/王新敞特级教师源头学子小屋新疆4m或4mB新疆源头学子小屋特级教师王新敞http://www.xjktyg.com/wxc/wxckt@126.comwxckt@126.comhttp://www.xjktyg.com/wxc/王新敞特级教师源头学子小屋新疆45mC新疆源头学子小屋特级教师王新敞http://www.xjktyg.com/wxc/wxckt@126.comwxckt@126.comhttp://www.xjktyg.com/wxc/王新敞特级教师源头学子小屋新疆45mD新疆源头学子小屋特级教师王新敞http://www.xjktyg.com/wxc/wxckt@126.comwxckt@126.comhttp://www.xjktyg.com/wxc/王新敞特级教师源头学子小屋新疆25m131yxyxA12B32C52D19在△ABC中,若,sinsinBA则A一定大于B,对吗?填_________(对或错)10在锐角△ABC中,若2,3ab,则边长c的取值范围是_________11数列7,77,777,7777…的一个通项公式是______________________12等比数列na前n项的和为21n,则数列2na前n项的和为______________新疆源头学子小屋特级教师王新敞http://www.xjktyg.com/wxc/wxckt@126.comwxckt@126.comhttp://www.xjktyg.com/wxc/王新敞特级教师源头学子小屋新疆13,xyR191xyxy14当x______时,函数)2(22xxy有最_______值,且最值是_________15.在△ABC中,0120,,21,3ABCAcbaS,求cb,16.求和:12...321nnxxx17.若函数()log(4)(0,1)aafxxaax且的值域为R,求实数a的取值范围18.在等比数列na中,,400,60,364231nSaaaa求n范围1C2B3D4B5A6D7B8D9、对10、(5,13)11、)110(97nna1211212111421,21,2,4,1,4,14nnnnnnnnnnSSaaaqS13、199()()10102916xyxyxyxyyx14、1,,1大15解:1sin3,4,2ABCSbcAbc2222cos,5abcbcAbc,而cb所以4,1cb16解:记21123...,nnSxxnx当1x时,1123...(1)2nSnnn当1x,时,23123...(1),nnnxSxxxnxnx231(1)1...,nnnxSxxxxnx∴原式=)(,)()(0x1)1(2)1()0x1(x1112xnnxnxxxnn17、解:令4auxx,则u须取遍所有的正实数,即min0u,而min24240041uaaaa且(0,1)1,4a解:22213222236,(1)60,0,6,110,3,aaaaqaaqq当3q时,12(13)2,400,3401,6,13nnnaSnnN;当3q时,12[1(3)]2,400,(3)801,8,1(3)nnnaSnn为偶数;∴为偶数且nn,8

1、当您付费下载文档后,您只拥有了使用权限,并不意味着购买了版权,文档只能用于自身使用,不得用于其他商业用途(如 [转卖]进行直接盈利或[编辑后售卖]进行间接盈利)。
2、本站所有内容均由合作方或网友上传,本站不对文档的完整性、权威性及其观点立场正确性做任何保证或承诺!文档内容仅供研究参考,付费前请自行鉴别。
3、如文档内容存在违规,或者侵犯商业秘密、侵犯著作权等,请点击“违规举报”。

碎片内容

高一数学复习题(NF)册人教A版必修5

您可能关注的文档

海博书城+ 关注
实名认证
内容提供者

从事历史教学,热爱教育,高度负责。

确认删除?
VIP
微信客服
  • 扫码咨询
会员Q群
  • 会员专属群点击这里加入QQ群
客服邮箱
回到顶部