电脑桌面
添加小米粒文库到电脑桌面
安装后可以在桌面快捷访问

高一数学均值不等式人教实验B版知识精讲VIP免费

高一数学均值不等式人教实验B版知识精讲_第1页
1/6
高一数学均值不等式人教实验B版知识精讲_第2页
2/6
高一数学均值不等式人教实验B版知识精讲_第3页
3/6
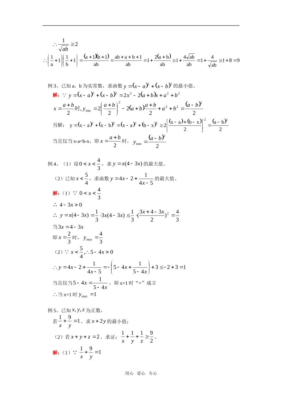
高一数学均值不等式人教实验B版【本讲教育信息】一、教学内容:均值不等式二、学习目标1.掌握两个正数的算术平均数不小于它们的几何平均数,并会简单运用;2.利用不等式求最值时要注意到“一正”“二定”“三相等”.三、知识要点1、算术平均数:如果Rba,,那么2ba叫做这两个正数的算术平均数。2、几何平均数:如果Rba,,那么ab叫做这两个正数的几何平均数。3、定理:如果Rba,,那么abba222(当且仅当a=b时取“=”号)4、均值定理:如果Rba,,那么abba2(当且仅当a=b时取“=”号)5、基本不等式:若Rba,,则baabbaba1122222当且仅当a=b时取“=”号【典型例题】例1、若2lg,lglg21,lglg,1baRbaQbaPba,试比较P,Q,R的大小。解:0lglg,1babababalglglglg21,即QP又baabbaabbalglg21lg2lg,2,QR即PQR例2、已知Rba,且a+b=1求证:91111ba证一:91441baab24ba2ab21bba1aba1b11a1证二:因为Rba,且a+b=1,所以abba2,用心爱心专心21ab981ab41abab41abba21ab1baabab1b1a1b11a1例3、已知a,b为实常数,求函数22bxaxy的最小值。解:2222222baxbaxbxaxy22222,22222minbababababaybax时另解:2ba2xbax2xbaxbxaxy222222当且仅当x-a=b-x,即2bax时,22minbay例4、(1)设340x,求)34(xxy的最大值。(2)已知45x,求函数54124xxy的最大值。解:(1) 340x∴034x∴)34(xxy34)2343(31)34(3312xxxx当xx343即32x时,34maxy(2)045,45xx13234514554124xxxxy当且仅当xx45145,即x=1时“=”成立当x=1时1maxy例5、已知zyx,,为正数,若191yx,求yx2的最小值;(2)若2zyx,求证:29111zyx。解:(1) 191yx用心爱心专心∴26199221992181)91)(2(2yxxyyxxyyxyxyx当且仅当yxxy92时,上式取等号,所以yx2的最小值为2619(2)))(111(21111zyxzyxzyx29)2223(21)]zxxz()yzzy()yxxy(3[21当且仅当32zyx时,上式取等号例6、某客运公司买了每辆a2万元的大客车投入运营,根据调查得知,每辆客车每年客运收入约为a万元,且每辆客车第n年的油料费、维修费及其他各种管理费用总和)(nP(万元)与年数n成正比,又知第3年每辆客车的上述费用是该年客运收入的48%。(1)写出每辆客车运营的总利润y(万元)与n的函数表达式;(2)每辆客车运营多少年可使其运营的年平均利润最大?解:(1)根据第n年的各种费用总和P(n)与年数n成正比,设P(n)=kn,k为常数 第3年费用是该年客运收入的48%,则ka348.0∴ak16.0,得annP16.0)(∴运营的总利润aanananaany292.008.02)21(16.02,*Nn(2)运营的年平均利润为anaananaanny92.0208.0292.0208.0aaa12.092.08.0当且仅当naan208.0时成立,*Nn,即5n时取等号∴运营5年可使其运营的年平均利润最大且最大值为a12.0本讲涉及的主要数学思想方法1、注意均值定理的应用条件,在解决问题的过程中注重分类讨论的使用。2、于实际问题中,要建立好数学模型,注重等价转化思想的运用,在实际问题中注意各个量的取值范围。【模拟试题】(答题时间:40分钟)一、选择题1、设,0yx则下列各式中正确的是()A.yxy2yxxB.xxyyxy2用心爱心专心C.xyyyxx2D.xxyyxy22、下列不等式的证明过程正确的是()A.若,,Rba...

1、当您付费下载文档后,您只拥有了使用权限,并不意味着购买了版权,文档只能用于自身使用,不得用于其他商业用途(如 [转卖]进行直接盈利或[编辑后售卖]进行间接盈利)。
2、本站所有内容均由合作方或网友上传,本站不对文档的完整性、权威性及其观点立场正确性做任何保证或承诺!文档内容仅供研究参考,付费前请自行鉴别。
3、如文档内容存在违规,或者侵犯商业秘密、侵犯著作权等,请点击“违规举报”。

碎片内容

高一数学均值不等式人教实验B版知识精讲

您可能关注的文档

海博书城+ 关注
实名认证
内容提供者

从事历史教学,热爱教育,高度负责。

确认删除?
VIP
微信客服
  • 扫码咨询
会员Q群
  • 会员专属群点击这里加入QQ群
客服邮箱
回到顶部