电脑桌面
添加小米粒文库到电脑桌面
安装后可以在桌面快捷访问

高一数学向量同步练习3VIP免费

高一数学向量同步练习3_第1页
1/3
高一数学向量同步练习3_第2页
2/3
高一数学向量同步练习3_第3页
3/3
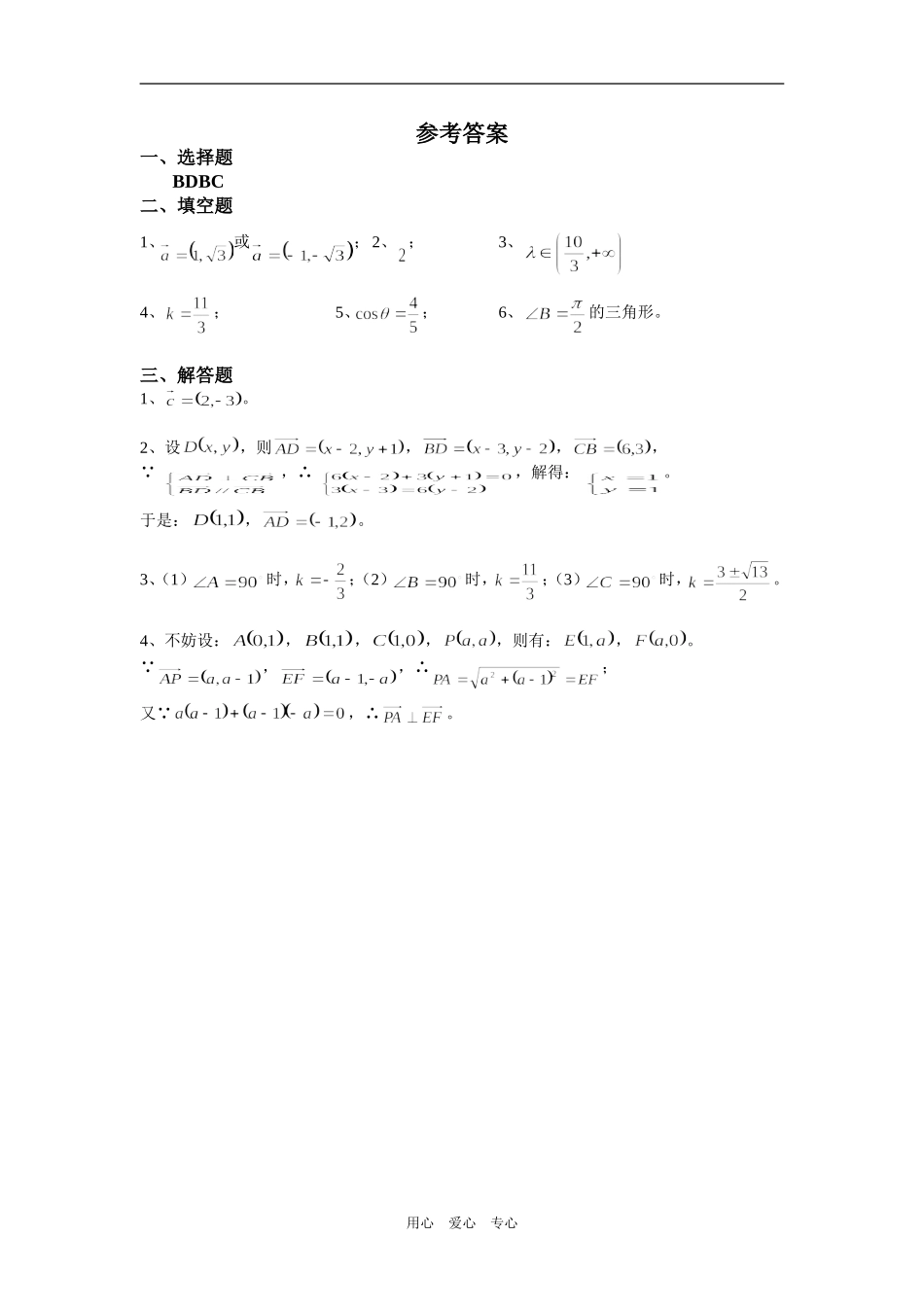
本资料来源于《七彩教育网》http://www.7caiedu.cn高一向量同步练习10(平面向量数量积的坐标运算)一、选择题1、若=(-3,4),=(5,12),则与夹角的余弦为()A.B.C.D.2、已知=(1,2),=(x,1),且+2与2-垂直,则x等于()A.2B.C.-2D.或-23、已知=(-1,1),=(2,y),且2+2与-2平行,则y等于()A.2B.-2C.D.4、给定两个向量=(3,4),=(2,1),且,则x等于()A.3B.C.-3D.二、填空题1、已知,若,则=.2、向量在与成45角的单位向量上的投影为.3、已知,且与的夹角是钝角,则的取值范围是.4、在ABC中,,且角B为直角,则k的值为.5、正方形OABC的边长为a,D、E分别为AB、BC中点,则∠DOE的余弦值为.6、已知A(7,5),B(2,3),C(6,-7),那么ABC的形状为.三、解答题1、已知=(1,2),=(3,-1),求满足条件的向量.2、已知ABC的三顶点分别为A(2,-1),B(3,2),C(-3,-1),BC边上的高为AD,求点D和的坐标.用心爱心专心3、已知三角形ABC中,=(2,3),=(1,k),且三角形ABC的一个内角为直角,求k的值.4、正方形ABCD中,P是对角线DB上的一点,PFCE是矩形,证明:(1)PA=EF;(2)PAEF.用心爱心专心参考答案一、选择题BDBC二、填空题1、或;2、;3、4、;5、;6、的三角形。三、解答题1、。2、设,则,,,∵,∴,解得:。于是:,。3、(1)时,;(2)时,;(3)时,。4、不妨设:,,,,则有:,。∵,,∴;又∵,∴。用心爱心专心

1、当您付费下载文档后,您只拥有了使用权限,并不意味着购买了版权,文档只能用于自身使用,不得用于其他商业用途(如 [转卖]进行直接盈利或[编辑后售卖]进行间接盈利)。
2、本站所有内容均由合作方或网友上传,本站不对文档的完整性、权威性及其观点立场正确性做任何保证或承诺!文档内容仅供研究参考,付费前请自行鉴别。
3、如文档内容存在违规,或者侵犯商业秘密、侵犯著作权等,请点击“违规举报”。

碎片内容

高一数学向量同步练习3

您可能关注的文档

海博书城+ 关注
实名认证
内容提供者

从事历史教学,热爱教育,高度负责。

确认删除?
VIP
微信客服
  • 扫码咨询
会员Q群
  • 会员专属群点击这里加入QQ群
客服邮箱
回到顶部