电脑桌面
添加小米粒文库到电脑桌面
安装后可以在桌面快捷访问

自考有机化学VIP免费

自考有机化学_第1页
1/8
自考有机化学_第2页
2/8
自考有机化学_第3页
3/8
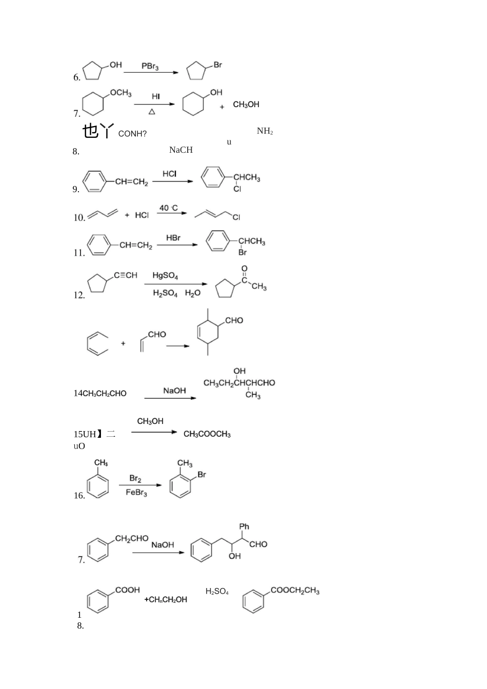
药学本科自学考试有机化学复习题一、命名H3CCH^CH32-甲基噻吩wZ-2戊烯HH2-呋喃甲醛S-2-氯丁烷环己基甲醛CH3一;CH2CH3Br脲硫酸氢重氮苯HSO4(D)-核糖二、完成反应(每小题2分)2.2-戊炔H:;CC-GCH/;H:;CH3CH2CH31.ACIHSCH^CHCIHJCH^CI3.CH3°N自「占HaHsCH.CH3QH18.CH3OH也丫CONH?8.NH2u9.NaCH14CH3CH2CHO15UH】二uOCH3OHCH3COOCH316.CH$H2SO4+CHnCH2OH21.BCH3CH2NH2巳CH:-CH^NH2(提示:苯磺酰氯,碱)3.提示:溴溶液或三氯化铁溶三、用简单化学方法鉴别1.A葡萄糖B蔗糖A甘露糖B果糖A核糖B果糖A葡萄糖B蔗糖(提示:银氨溶液)A甘露糖B果糖(提示溴溶液)A核糖B果糖(提示:溴溶液)5.A丁醇B乙醚A樟脑B龙脑Aa-蒎烯B薄荷醇A丁醇B乙醚(提示:重铬酸钾溶液)A樟脑B龙脑(提示:苯肼溶液)Aa-蒎烯B薄荷醇(提示:溴溶液)四、单项选择C1.下列那个选项最符合有机化合物的定义:A从动植物中得到的化合物;B能燃烧的化合物;C含碳的化合物;D可以人工合成的化合物D2.下列选项中,不属于有机化合物特点的是A熔点都较低;B易燃烧;C不易溶于水;D可以人工合成A2.(CH3)2NHA{CH3)2NH提示:溴A提示:茚三酮溶C3.与无机化合物比较,下列选项中,属于有机化合物特点的是:A强度高;B反应速度慢;C不易燃烧;D可以人工合成C4.下列选项那个不是有机化合物中的碳原子主要的杂化方式:Asp2Bsp3Csp2d2DspB5.在烷烃和环烷烃中,碳原子的杂化方式是:Asp2Bsp3Csp2d2DspA6.有机化合物中各原子的结合主要是:A共价键B离子键C氢键D偶极键C7.描述有机化合物中的共价键有几个主要的参数,不属于这个参数之一的是A键长B键角C氢键D偶极钜A8.下列化合物中,存在叔碳原子的是:A2-甲基丁烷B正丁烷C乙烷D新戊烷B9.在烷烃中,所谓“伯”碳原子,指的是:A与两个碳原子相连B与一个碳原子相连C与三个碳原子相连D与四个碳原子相连A10.下列化合物中,熔点最高的是A新戊烷B正戊烷C正庚烷D正己烷C11.下列化合物中,沸点最高的是:A新戊烷B正戊烷C正庚烷D正己烷B12.关于烷烃在水中的溶解度正确的描述是A易溶于水B不溶于水C溶解,但溶解度不大D与烷烃结构有关D13.下列几个结构中,哪个可能具有手性五、多项选择ACE1.在下列结构中,属于L-构型的是:ACE2.在下列结构中,存在顺反异构的是:ACHJCH=CHCHaBCH5CH=CH2CCHaCH=CHCID{CH3)2C-CHCH3ECH3CH=CHCH2CH3ABD3.下列碳正离子中,比异丙基碳正离子稳定的是:A苄基碳正离子B烯丙基碳正离子C乙基碳正离子D叔丁基碳正离子E甲基碳正离子CDE4.下列结构中,没有芳香性的是:BCE5.下列结构中,属于醌类化合物的是:六、简答题1•丙酰胺和N-甲基乙酰胺是同分异构体,这两个化合物哪个沸点高?为什么?要点:丙酰胺沸点高,因为丙酰胺氮原子有两个氢,形成分子间氢键的能力强,使沸点较高2.说明Perkin(柏琴)反应为什么需要碱催化?要点:乙酸酐需要在碱性条件下才能产生碳负离子,使碳具有亲核性,从而与芳醛发生亲核加成反应3.下面哪个二元酸酯可以进行分子内酯缩合反应?为什么?pCOOEt厂COOEtkCWEtAl—COOEtCooEt要点:只有C可以进行分子内酯缩合,因为该化合物缩合后可以形成稳定性高的五元环。其余两个只能形成不稳定的三元或四元环5.B的甲基上的氢具有酸性,而A则没有,解释为什么?要点:硝基是吸电子基团,可以使环上电子云密度大大下降,从而有利于离解出一个氢正离子,形成稳定的碳负离子,因此具有酸性6.为什么吡啶的亲电取代反应比苯难?要点:吡啶中的氮原子电负性强于碳原子,使环上电子云密度降低,故亲电取代反应难7.为什么A比B容易进行亲电取代反应?要点:吡啶中的氮原子电负性强于碳原子,使环上电子云密度降低,而吡咯的氮原子具有给电子作用,会使环上电子云密度增加,故A更容易进行亲电取代反应。CHO+(CHsCO^O4.B反应的速度远远高于A反应,解释为什么?要点:该反应为芳香亲核取代反应(,当环上电子云密度越小就越容易反应。硝基是吸电子基团,可以使环上电子云密度大大下降,因此反应容易A8.2-氯丙酸的酸性为什么强于丙酸?要点:因为氯是吸电子基团,其吸电子作用使羧基电子云密度降低,使酸根负离子更稳定,因而酸性强。七、推测结构1•一单萜类化合物,分子式为C10H]...

1、当您付费下载文档后,您只拥有了使用权限,并不意味着购买了版权,文档只能用于自身使用,不得用于其他商业用途(如 [转卖]进行直接盈利或[编辑后售卖]进行间接盈利)。
2、本站所有内容均由合作方或网友上传,本站不对文档的完整性、权威性及其观点立场正确性做任何保证或承诺!文档内容仅供研究参考,付费前请自行鉴别。
3、如文档内容存在违规,或者侵犯商业秘密、侵犯著作权等,请点击“违规举报”。

碎片内容

自考有机化学

您可能关注的文档

确认删除?
VIP
微信客服
  • 扫码咨询
会员Q群
  • 会员专属群点击这里加入QQ群
客服邮箱
回到顶部