电脑桌面
添加小米粒文库到电脑桌面
安装后可以在桌面快捷访问

高中数学数列放缩专题:用放缩法处理数列和不等问题含答案VIP免费

高中数学数列放缩专题:用放缩法处理数列和不等问题含答案_第1页
1/10
高中数学数列放缩专题:用放缩法处理数列和不等问题含答案_第2页
2/10
高中数学数列放缩专题:用放缩法处理数列和不等问题含答案_第3页
3/10
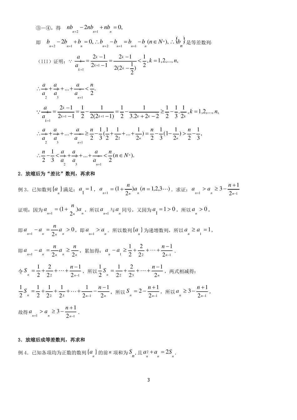
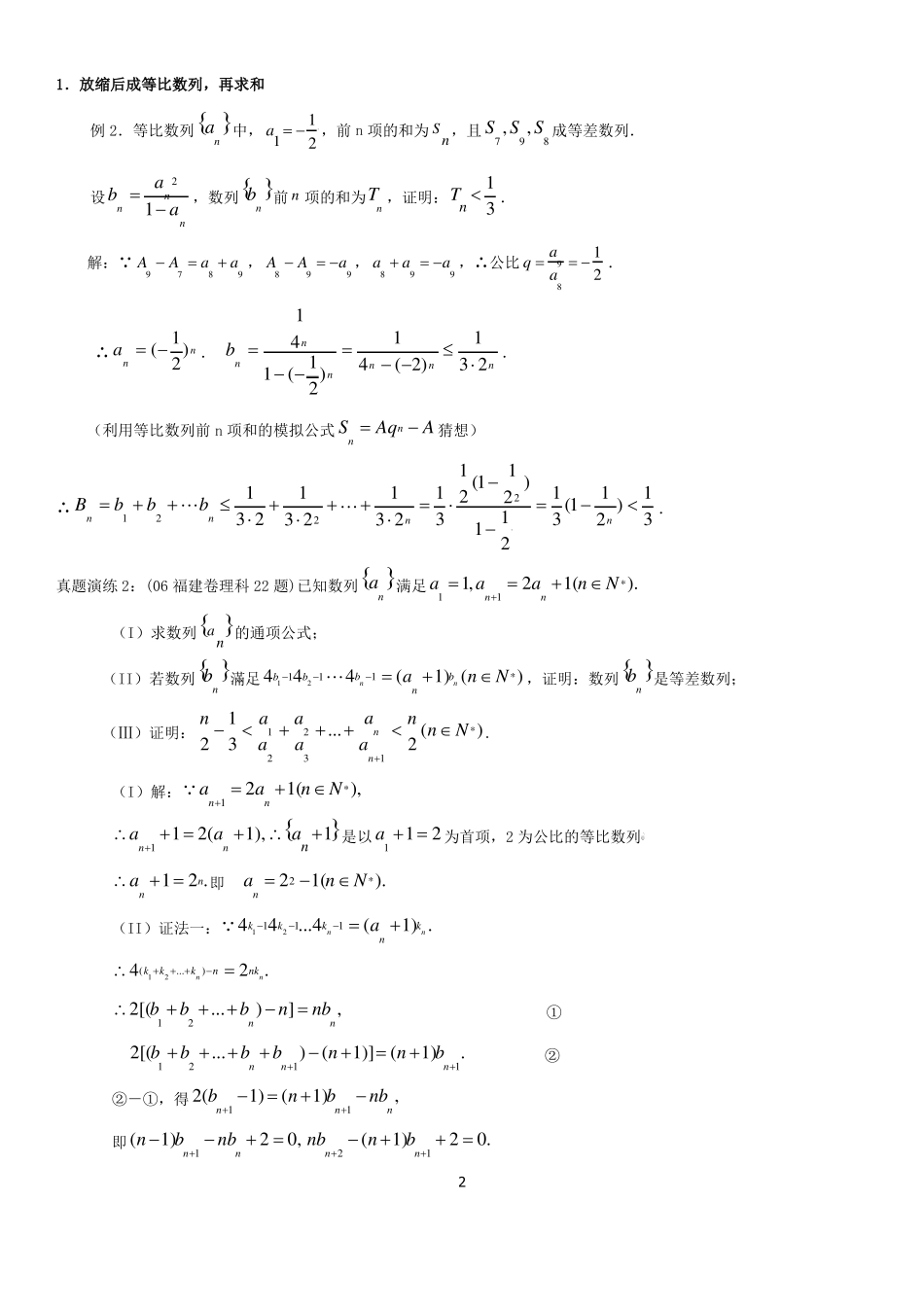
用放缩法处理数列和不等问题(教师版)一.先求和后放缩(主要是先裂项求和,再放缩处理)例1.正数数列(1)数列(2)设bnan的前n项的和Sn,满足2Snan1,试求:an的通项公式;11,数列bn的前n项的和为Bn,求证:Bn2anan122(an1)2,n2时,4Sn1(an11)2,作差得:4anan2anan12an1,所以(anan1)(anan12)0,又因为an为正数数列,所以anan12,即an是公差为2的等差数列,由解:(1)由已知得4Sn2S1a11,得a11,所以an2n1(2)bn11111(),所以anan1(2n1)(2n1)22n12n1Bn111111111(1)23352n12n122(2n1)2真题演练1:(06全国1卷理科22题)设数列an的前n项的和,Sn3an32n13,n1,2,3,412n2n3(Ⅰ)求首项a1与通项an;(Ⅱ)设Tn,n1,2,3,,证明:Ti.2Sni141412n+12解:(Ⅰ)由Sn=an-×2+,n=1,2,3,„,①得a1=S1=a1-×4+所以a1=233333341n2再由①有Sn-1=an-1-×2+,n=2,3,4,„33341n+1n将①和②相减得:an=Sn-Sn-1=(an-an-1)-×(2-2),n=2,3,„33整理得:an+2=4(an-1+2),n=2,3,„,因而数列{an+2}是首项为a1+2=4,公比为4的等比数列,即:an+2=4×4nnn4,n=1,2,3,„,因而an=4-2,n=1,2,3,„,4121nnnnn+1n+1n+1(Ⅱ)将an=4-2代入①得Sn=×(4-2)-×2+=×(2-1)(2-2)33332n+1n=×(2-1)(2-1)3232311Tn==×=×(n-n+1)n+1nSn2(2-1)(2-1)22-12-1所以,二.先放缩再求和1nnnn-1nnn-1=Tii1n3=2(2i-1-2i+1-1)=2×(21-1-i1n11313)<22n1111.放缩后成等比数列,再求和例2.等比数列2an中,a1,前n项的和为Sn,且S7,S9,S8成等差数列.12an1设bn,数列bn前n项的和为Tn,证明:Tn.31an解: A9A7a8a9,A8A9a9,a8a9a9,∴公比qa91.a82∴an().bn12n14n11()n211.nnn4(2)32(利用等比数列前n项和的模拟公式SnAqnA猜想)11(12)1111221(11)1.∴Bnb1b2bn1323223332n32n12真题演练2:(06福建卷理科22题)已知数列(I)求数列(II)若数列(Ⅲ)证明:an满足a11,an12an1(nN*).an的通项公式;bn滿足4b14b14b1(an1)b(nN*),证明:数列bn是等差数列;12nnan1a1a2n...n(nN*).23a2a3an12(I)解:an12an1(nN*),an112(an1),an1是以a112为首项,2为公比的等比数列an12n.即an221(nN*).(II)证法一:41k1k214...4kn1(an1)kn.4(k1k2...kn)n2nkn.2[(b1b2...bn)n]nbn,①2[(b1b2...bnbn1)(n1)](n1)bn1.②②-①,得2(bn11)(n1)bn1nbn,即(n1)bn1nbn20,nbn2(n1)bn120.2③-④,得即nbn22nbn1nbn0,bn22bn1bn0,bn2bn1bn1bn(nN*),bn是等差数列ak2k12k11k1,k1,2,...,n,(III)证明:ak1212(2k1)22aa1a2n...n.a2a3an12ak2k11111111k1.k,k1,2,...,n,k1kkak12122(21)23.222232aa1a2n1111n11n1...n(2...n)(1n),a2a3an12322223223an1aan12...n(nN*).23a2a3an122.放缩后为“差比”数列,再求和例3.已知数列{an}满足:a11,an1(1nn1)a(n1,2,3)aa3.求证:nn1n2n2n1证明:因为an1(1n)an,所以an1与an同号,又因为a110,所以an0,2n即an1annan0,即an1an.所以数列{an}为递增数列,所以ana11,n2nn12n1aaa,累加得:.nn12222n2n2n1即an1an令Sn12n1112n12n1,所以Sn23n,两式相减得:222222211111n1n1n1Sn23n1n,所以Sn2n1,所以an3n1,22222222故得an1an33.放缩后成等差数列,再求和例4.已知各...

1、当您付费下载文档后,您只拥有了使用权限,并不意味着购买了版权,文档只能用于自身使用,不得用于其他商业用途(如 [转卖]进行直接盈利或[编辑后售卖]进行间接盈利)。
2、本站所有内容均由合作方或网友上传,本站不对文档的完整性、权威性及其观点立场正确性做任何保证或承诺!文档内容仅供研究参考,付费前请自行鉴别。
3、如文档内容存在违规,或者侵犯商业秘密、侵犯著作权等,请点击“违规举报”。

碎片内容

高中数学数列放缩专题:用放缩法处理数列和不等问题含答案

您可能关注的文档

确认删除?
VIP
微信客服
  • 扫码咨询
会员Q群
  • 会员专属群点击这里加入QQ群
客服邮箱
回到顶部