电脑桌面
添加小米粒文库到电脑桌面
安装后可以在桌面快捷访问

高一数学《集合》随堂练习(3)VIP免费

高一数学《集合》随堂练习(3)_第1页
1/3
高一数学《集合》随堂练习(3)_第2页
2/3
高一数学《集合》随堂练习(3)_第3页
3/3
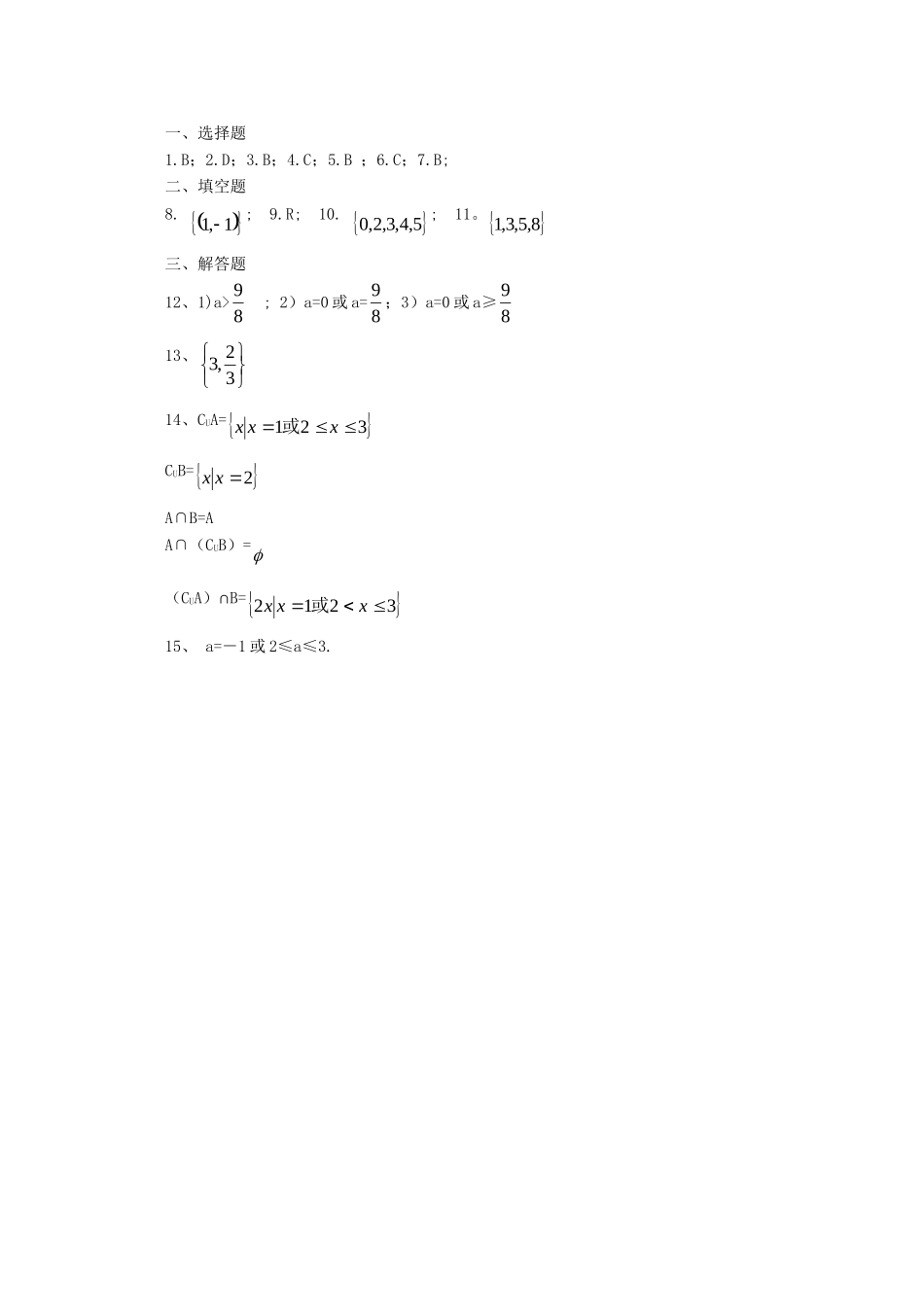
1.1集合一、选择题1、已知集合PM,满足MPM,则一定有()A、PMB、PMC、MPMD、PM2、集合A含有10个元素,集合B含有8个元素,集合A∩B含有3个元素,则集合A∪B的元素个数为()A、10个B、8个C、18个D、15个3、设全集U=R,M={x|x.≥1},N={x|0≤x<5},则(CUM)∪(CUN)为()A、{x|x.≥0}B、{x|x<1或x≥5}C、{x|x≤1或x≥5}D、{x|x〈0或x≥5}4、设集合xA,4,1,2,1xB,且xBA,4,1,则满足条件的实数x的个数是()A、1个B、2个C、3个D、4个5、已知全集U={非零整数},集合A={x||x+2|>4,xU},则CUA=()A、{-6,-5,-4,-3,-2,-1,0,1,2}B、{-6,-5,-4,-3,-2,-1,1,2}C、{-5,-4,-3,-2,0,-1,1}D、{-5,-4,-3,-2,-1,1}6、已知集合}8,7,3{},9,6,3,1{,5,4,3,2,1,0CBA,则CBA)(等于A、{0,1,2,6}B、{3,7,8,}C、{1,3,7,8}D、{1,3,6,7,8}7、定义A-B={x|xA且xB},若A={1,2,3,4,5},B={2,3,6},则A-(A-B)等于()A、{2,3,6}B、3,2C、5,4,1D、6二、填空题8、集合P=0,yxyx,Q=2,yxyx,则A∩B=9、不等式|x-1|>-3的解集是10、已知集合A=用列举法表示集合A=11、已知U=,8,7,6,5,4,3,2,1,8,1BCAU,6,2BACU,7,4BCACUU则集合A=三、解答题12、已知集合A=.,0232RaxaxRx1)若A是空集,求a的取值范围;2)若A中只有一个元素,求a的值,并把这个元素写出来;3)若A中至多只有一个元素,求a的取值范围13、已知全集U=R,集合A=,022pxxx,052qxxxB2BACU若,试用列举法表示集合A14、已知全集U={x|x2-3x+2≥0},A={x||x-2|>1},B=021xxx,求CUA,CUB,A∩B,A∩(CUB),(CUA)∩B15、关于实数x的不等式22121121aax与x2-3(a+1)x+2(3a+1)≤0(a∈R)的解集依次为A,B求使BA成立的实数a的取值范围参考答案一、选择题1.B;2.D;3.B;4.C;5.B;6.C;7.B;二、填空题8.1,1;9.R;10.5,4,3,2,0;11。8,5,3,1三、解答题12、1)a>89;2)a=0或a=89;3)a=0或a≥8913、32,314、CUA=321xxx或CUB=2xxA∩B=AA∩(CUB)=(CUA)∩B=3212xxx或15、a=-1或2≤a≤3.

1、当您付费下载文档后,您只拥有了使用权限,并不意味着购买了版权,文档只能用于自身使用,不得用于其他商业用途(如 [转卖]进行直接盈利或[编辑后售卖]进行间接盈利)。
2、本站所有内容均由合作方或网友上传,本站不对文档的完整性、权威性及其观点立场正确性做任何保证或承诺!文档内容仅供研究参考,付费前请自行鉴别。
3、如文档内容存在违规,或者侵犯商业秘密、侵犯著作权等,请点击“违规举报”。

碎片内容

高一数学《集合》随堂练习(3)

您可能关注的文档

雨丝书吧+ 关注
实名认证
内容提供者

乐于和他人分享知识,从事历史教学,热爱教育,高度负责。

确认删除?
VIP
微信客服
  • 扫码咨询
会员Q群
  • 会员专属群点击这里加入QQ群
客服邮箱
回到顶部