电脑桌面
添加小米粒文库到电脑桌面
安装后可以在桌面快捷访问

高一数学 暑假练习 已知三角函数值求角VIP免费

高一数学 暑假练习 已知三角函数值求角_第1页
1/3
高一数学 暑假练习 已知三角函数值求角_第2页
2/3
高一数学 暑假练习 已知三角函数值求角_第3页
3/3
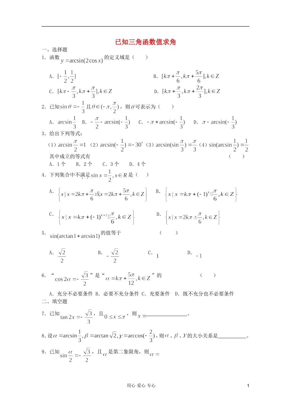
已知三角函数值求角一、选择题1.函数的定义域是()A.B.C.D.2.已知且,则可表示为()A.B.C.D.3.给出下列等式:(1)(2)(3)(4)其中成立的等式有()A.1个B.2个C.3个D.4个4.下列集合中不满足是()A.B.C.D.5.的值等于()A.B.C.D.6.“”是“”的()A.充分不必要条件B.必要不充分条件C.充要条件D.既不充分也不必要条件二、填空题7.已知,且,则。8.设,则、、的大小关系是。9.已知,且是第二象限角,则用心爱心专心110.的值为。三、解答题11.已知、是方程的两根,求的值。12.动点在以AB=4为直径的半圆上自A向B运动,设,△ABP的面积为,试把表示成的函数,并求当取最大值的时的值(用反三角函数表示)。13.已知△ABC的三个内角A、B、C满足,,求A、B、C的大小。用心爱心专心2参考答案一、选择题1.D2.D3.C4.D5.A6.B二、填空题7.8.9.10.三、解答题11.12.13.用心爱心专心3

1、当您付费下载文档后,您只拥有了使用权限,并不意味着购买了版权,文档只能用于自身使用,不得用于其他商业用途(如 [转卖]进行直接盈利或[编辑后售卖]进行间接盈利)。
2、本站所有内容均由合作方或网友上传,本站不对文档的完整性、权威性及其观点立场正确性做任何保证或承诺!文档内容仅供研究参考,付费前请自行鉴别。
3、如文档内容存在违规,或者侵犯商业秘密、侵犯著作权等,请点击“违规举报”。

碎片内容

高一数学 暑假练习 已知三角函数值求角

您可能关注的文档

雨丝书吧+ 关注
实名认证
内容提供者

乐于和他人分享知识,从事历史教学,热爱教育,高度负责。

相关文档

确认删除?
VIP
微信客服
  • 扫码咨询
会员Q群
  • 会员专属群点击这里加入QQ群
客服邮箱
回到顶部