电脑桌面
添加小米粒文库到电脑桌面
安装后可以在桌面快捷访问

备战高考数学 考点一遍过 考点15 三角函数的图象与性质 理(含解析)-人教版高三全册数学试题VIP免费

备战高考数学 考点一遍过 考点15 三角函数的图象与性质 理(含解析)-人教版高三全册数学试题_第1页
1/49
备战高考数学 考点一遍过 考点15 三角函数的图象与性质 理(含解析)-人教版高三全册数学试题_第2页
2/49
备战高考数学 考点一遍过 考点15 三角函数的图象与性质 理(含解析)-人教版高三全册数学试题_第3页
3/49
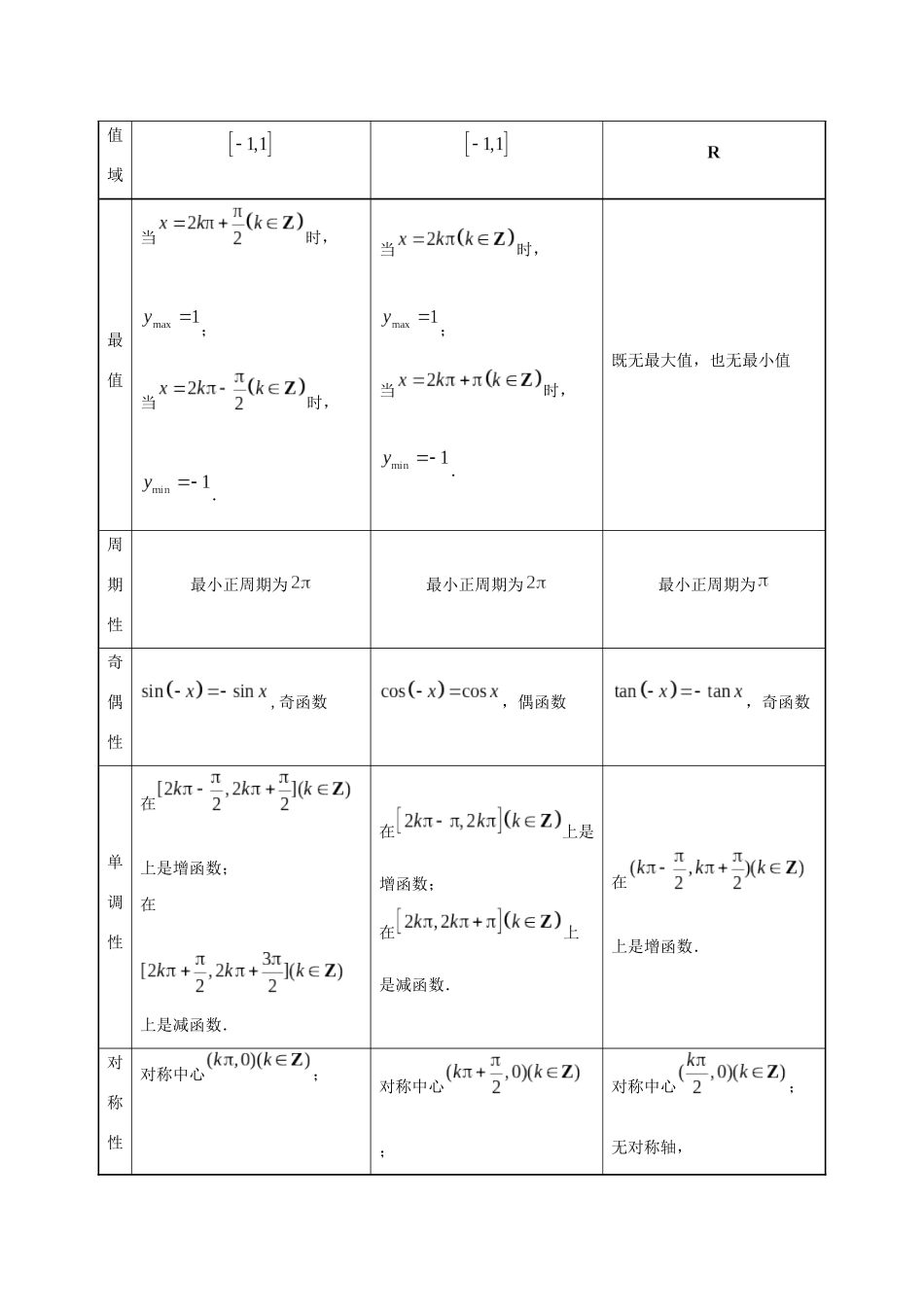
考点15三角函数的图象与性质(1)能画出y=sinx,y=cosx,y=tanx的图象,了解三角函数的周期性.(2)理解正弦函数、余弦函数在区间上的性质(如单调性、最大值和最小值以及与x轴的交点等),理解正切函数在区间内的单调性.(3)了解函数的物理意义;能画出的图象,了解参数对函数图象变化的影响.(4)了解三角函数是描述周期变化现象的重要函数模型,会用三角函数解决一些简单实际问题.一、正弦函数,余弦函数,正切函数的图象与性质函数图象定义域值域最值当时,;当时,.当时,;当时,.既无最大值,也无最小值周期性最小正周期为最小正周期为最小正周期为奇偶性,奇函数,偶函数,奇函数单调性在上是增函数;在上是减函数.在上是增函数;在上是减函数.在上是增函数.对称性对称中心;对称中心;对称中心;无对称轴,对称轴,既是中心对称图形又是轴对称图形.对称轴,既是中心对称图形又是轴对称图形.是中心对称图形但不是轴对称图形.二、函数的图象与性质1.函数的图象的画法(1)变换作图法由函数的图象通过变换得到(A>0,ω>0)的图象,有两种主要途径:“先平移后伸缩”与“先伸缩后平移”.如下图.(2)五点作图法找五个关键点,分别为使y取得最小值、最大值的点和曲线与x轴的交点.其步骤为:①先确定最小正周期T=,在一个周期内作出图象;②令,令X分别取0,,,,求出对应的x值,列表如下:由此可得五个关键点;③描点画图,再利用函数的周期性把所得简图向左右分别扩展,从而得到的简图.2.函数(A>0,ω>0)的性质(1)奇偶性:时,函数为奇函数;时,函数为偶函数.(2)周期性:存在周期性,其最小正周期为T=.(3)单调性:根据y=sint和t=的单调性来研究,由得单调增区间;由得单调减区间.(4)对称性:利用y=sinx的对称中心为求解,令,求得x.利用y=sinx的对称轴为求解,令,得其对称轴.3.函数(A>0,ω>0)的物理意义当函数(A>0,ω>0,)表示一个简谐振动量时,则A叫做振幅,T=叫做周期,f=叫做频率,叫做相位,x=0时的相位叫做初相.三、三角函数的综合应用(1)函数,的定义域均为;函数的定义域均为.(2)函数,的最大值为,最小值为;函数的值域为.(3)函数,的最小正周期为;函数的最小正周期为.(4)对于,当且仅当时为奇函数,当且仅当时为偶函数;对于,当且仅当时为奇函数,当且仅当时为偶函数;对于,当且仅当时为奇函数.(5)函数的单调递增区间由不等式来确定,单调递减区间由不等式来确定;函数的单调递增区间由不等式来确定,单调递减区间由不等式来确定;函数的单调递增区间由不等式来确定.【注】函数,,(有可能为负数)的单调区间:先利用诱导公式把化为正数后再求解.(6)函数图象的对称轴为,对称中心为;函数图象的对称轴为,对称中心为;函数图象的对称中心为.【注】函数,的图象与轴的交点都为对称中心,过最高点或最低点且垂直于轴的直线都为对称轴.函数的图象与轴的交点和渐近线与轴的交点都为对称中心,无对称轴.考向一三角函数的图象变换函数图象的平移变换解题策略(1)对函数y=sinx,y=Asin(ωx+φ)或y=Acos(ωx+φ)的图象,无论是先平移再伸缩,还是先伸缩再平移,只要平移|φ|个单位,都是相应的解析式中的x变为x±|φ|,而不是ωx变为ωx±|φ|.(2)注意平移前后两个函数的名称是否一致,若不一致,应用诱导公式化为同名函数再平移.典例1将函数图象上的每个点的横坐标缩短为原来的一半,纵坐标不变,再将所得图象向左平移个单位得到函数的图象,则在图象的所有对称轴中,离原点最近的对称轴为A.B.C.D.【答案】A【解析】将函数的图象上的每个点的横坐标缩短为原来的一半,纵坐标不变,得到的图象,再将所得图象向左平移个单位得到函数的图象,即,由,得,则当时,离原点最近的对称轴方程为,故选A.【名师点睛】(1)进行三角函数的图象变换时,要注意无论进行什么样的变换都是变换变量本身;要注意平移前后两个函数的名称是否一致,若不一致,应先利用诱导公式化为同名函数;(2)在图象变换过程中务必分清是先相位变换,还是先周期变换.变换只是相对于其中的自变量而言的,如果的系数不是1,就要把这个系数提取后再确定变换的...

1、当您付费下载文档后,您只拥有了使用权限,并不意味着购买了版权,文档只能用于自身使用,不得用于其他商业用途(如 [转卖]进行直接盈利或[编辑后售卖]进行间接盈利)。
2、本站所有内容均由合作方或网友上传,本站不对文档的完整性、权威性及其观点立场正确性做任何保证或承诺!文档内容仅供研究参考,付费前请自行鉴别。
3、如文档内容存在违规,或者侵犯商业秘密、侵犯著作权等,请点击“违规举报”。

碎片内容

备战高考数学 考点一遍过 考点15 三角函数的图象与性质 理(含解析)-人教版高三全册数学试题

您可能关注的文档

确认删除?
VIP
微信客服
  • 扫码咨询
会员Q群
  • 会员专属群点击这里加入QQ群
客服邮箱
回到顶部