电脑桌面
添加小米粒文库到电脑桌面
安装后可以在桌面快捷访问

北京四中高考数学总复习 数列的概念巩固练习VIP免费

北京四中高考数学总复习 数列的概念巩固练习_第1页
1/3
北京四中高考数学总复习 数列的概念巩固练习_第2页
2/3
北京四中高考数学总复习 数列的概念巩固练习_第3页
3/3
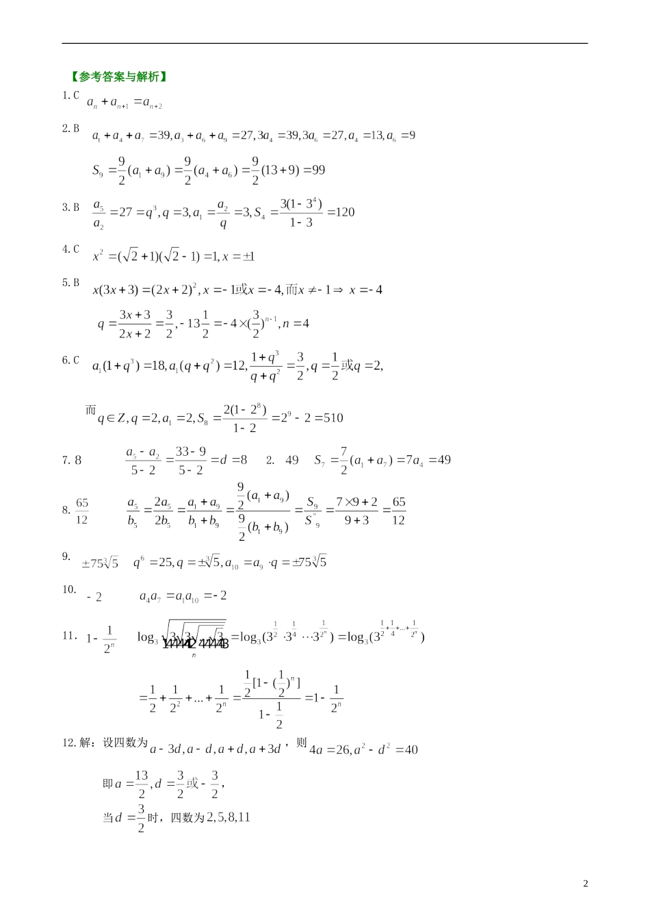
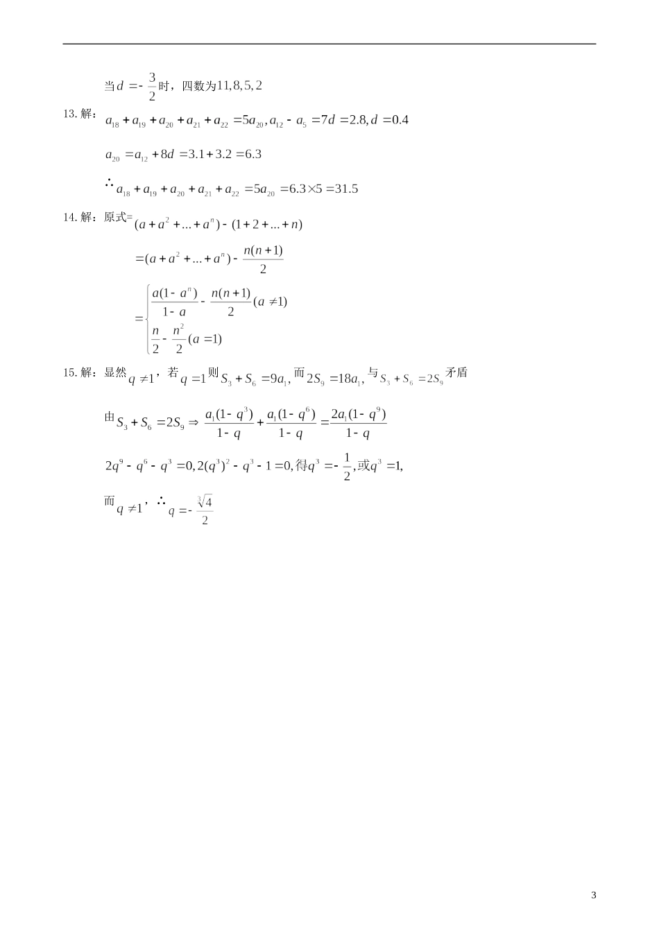
北京四中高考数学总复习数列的概念巩固练习1.在数列中,等于()A.B.C.D.2.等差数列项的和等于()A.B.C.D.3.等比数列中,则的前项和为()A.B.C.D.4.与,两数的等比中项是()A.B.C.D.5.已知一等比数列的前三项依次为,那么是此数列的第()项A.B.C.D.6.在公比为整数的等比数列中,如果那么该数列的前项之和为()A.B.C.D.7.等差数列中,则的公差为______________。8.数列{}是等差数列,,则_________9.两个等差数列则=___________.10.在等比数列中,若则=___________.11.在等比数列中,若是方程的两根,则=___________.12.计算___________.13.成等差数列的四个数的和为,第二数与第三数之积为,求这四个数。14.在等差数列中,求的值。15.求和:16.设等比数列前项和为,若,求数列的公比。1【参考答案与解析】1.C2.B3.B4.C5.B6.C而7.2.8.9.10.11.12.解:设四数为,则即,当时,四数为2当时,四数为13.解:∴14.解:原式=15.解:显然,若则而与矛盾由而,∴3

1、当您付费下载文档后,您只拥有了使用权限,并不意味着购买了版权,文档只能用于自身使用,不得用于其他商业用途(如 [转卖]进行直接盈利或[编辑后售卖]进行间接盈利)。
2、本站所有内容均由合作方或网友上传,本站不对文档的完整性、权威性及其观点立场正确性做任何保证或承诺!文档内容仅供研究参考,付费前请自行鉴别。
3、如文档内容存在违规,或者侵犯商业秘密、侵犯著作权等,请点击“违规举报”。

碎片内容

北京四中高考数学总复习 数列的概念巩固练习

雨丝书吧+ 关注
实名认证
内容提供者

乐于和他人分享知识,从事历史教学,热爱教育,高度负责。

确认删除?
VIP
微信客服
  • 扫码咨询
会员Q群
  • 会员专属群点击这里加入QQ群
客服邮箱
回到顶部