电脑桌面
添加小米粒文库到电脑桌面
安装后可以在桌面快捷访问

北京四中高中数学 两角和与差的正弦、余弦和正切公式基础巩固练习 新人教A版必修1VIP免费

北京四中高中数学 两角和与差的正弦、余弦和正切公式基础巩固练习 新人教A版必修1_第1页
1/5
北京四中高中数学 两角和与差的正弦、余弦和正切公式基础巩固练习 新人教A版必修1_第2页
2/5
北京四中高中数学 两角和与差的正弦、余弦和正切公式基础巩固练习 新人教A版必修1_第3页
3/5
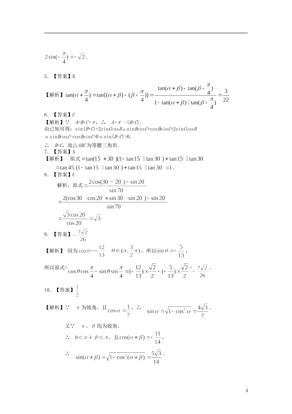
北京四中高中数学两角和与差的正弦、余弦和正切公式基础巩固练习新人教A版必修1【巩固练习】(基础)1.的值等于()A.B.C.D.2.的值是()A.B.C.D.3.若,,则等于()A.B.C.D.4.sincos的值是.()A.0B.—C.D.2sin5.已知则的值等于()A.B.C.D.6.在△ABC中,如果sinA=2sinCcosB.那么这个三角形是()A.锐角三角形B.直角三角形C.等腰三角形D.等边三角形7.tan15°+tan30°+tan15°·tan30°的值是()A.1B.C.D.8.的值是()A.B.C.D.9.如果cos=-,那么cos=________.10.已知为锐角,且cos=cos=-,则cos=_________.11.tan20º+tan40º+tan20ºtan40º的值是____________.112.函数y=cosx+cos(x+)的最大值是__________.13.已知,,且,,求角的值.14.求值:15.若锐角,满足,且.(1)求的值;(2)求的值.16.已知函数.(1)求函数的最小正周期;(2)若时,的最大值为1,求的值.【答案与解析】1.【答案】B【解析】2.【答案】D【解析】原式==3.【答案】D【解析】4.【答案】B【解析】原式===2.5.【答案】B【解析】6.【答案】C【解析】∵A+B+C=π,∴A=π-(B+C).由已知可得:sin(B+C)=2sinCcosBsinBcosC+cosBsinC=2sinCcosBsinBcosC-cosBsinC=0sin(B-C)=0.∴B=C,故△ABC为等腰三角形.7.【答案】A【解析】原式.8.【答案】C解析:原式9.【答案】【解析】因为cos=-,所以,所以原式==.10.【答案】【解析】∵α为锐角,且,∴.又∵α、β均为锐角,∴0<α+β<π,且,∴.3则11.【答案】【解析】原式=12.【答案】【解析】原式===,故.13.【解析】由且,得.又由,且,得..又∵,.∴,则.14.【解析】原式4.15.【解析】(1)因为,为锐角,所以,,所以.所以.(2)因为,①又,②由①②得,.所以.16.【解析】(1),所以的最小正周期为.(2),,的最大值为.5

1、当您付费下载文档后,您只拥有了使用权限,并不意味着购买了版权,文档只能用于自身使用,不得用于其他商业用途(如 [转卖]进行直接盈利或[编辑后售卖]进行间接盈利)。
2、本站所有内容均由合作方或网友上传,本站不对文档的完整性、权威性及其观点立场正确性做任何保证或承诺!文档内容仅供研究参考,付费前请自行鉴别。
3、如文档内容存在违规,或者侵犯商业秘密、侵犯著作权等,请点击“违规举报”。

碎片内容

北京四中高中数学 两角和与差的正弦、余弦和正切公式基础巩固练习 新人教A版必修1

您可能关注的文档

雨丝书吧+ 关注
实名认证
内容提供者

乐于和他人分享知识,从事历史教学,热爱教育,高度负责。

确认删除?
VIP
微信客服
  • 扫码咨询
会员Q群
  • 会员专属群点击这里加入QQ群
客服邮箱
回到顶部