电脑桌面
添加小米粒文库到电脑桌面
安装后可以在桌面快捷访问

-高考数学 午时30分钟训练2-人教版高三全册数学试题VIP免费

-高考数学 午时30分钟训练2-人教版高三全册数学试题_第1页
1/2
-高考数学 午时30分钟训练2-人教版高三全册数学试题_第2页
2/2
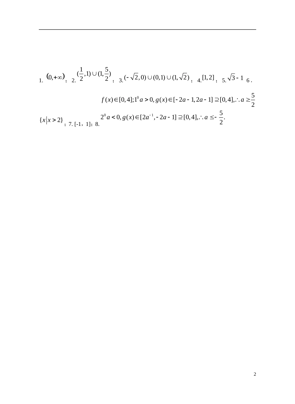
高三数学午时30分钟训练21.已知集合xyyA21,)1(log2xyyB,则BA.2.函数y=log2x-1(32-4x)的定义域是____________.3.已知函数fx定义域为(0,2),则函数212()1log(2)fxyx的定义域为.4.若21fx的定义域是1,4,则3xf的定义域为,5.若函数2()(0)xfxaxa在[1,+)上的最大值为33,求a的值为6.设0a,且1a,函数2()log(23)afxxx有最小值,则不等式log(1)0ax的解集为.7.设命题p:函数)2lg(2cxxy的定义域为R,命题q:函数2lg(2)yxxc的值域为R,若命题p、q有且仅有一个正确,则c的取值范围为______.8.已知函数2(),2,2fxxx和函数()1,2,2gxaxx,若对于任意12,2x,总存在02,2x,使得01()()gxfx成立,求实数a的取值范围.11.,0;2.15(,1)(1,)22;3.(2,0)(0,1)(1,2);4.[1,2];5.316.{2}xx;7.[-1,1];8.0015()[0,4];10,()[21,21][0,4],2520,()[2,21][0,4],.2fxagxaaaagxaaa2

1、当您付费下载文档后,您只拥有了使用权限,并不意味着购买了版权,文档只能用于自身使用,不得用于其他商业用途(如 [转卖]进行直接盈利或[编辑后售卖]进行间接盈利)。
2、本站所有内容均由合作方或网友上传,本站不对文档的完整性、权威性及其观点立场正确性做任何保证或承诺!文档内容仅供研究参考,付费前请自行鉴别。
3、如文档内容存在违规,或者侵犯商业秘密、侵犯著作权等,请点击“违规举报”。

碎片内容

-高考数学 午时30分钟训练2-人教版高三全册数学试题

您可能关注的文档

雨丝书吧+ 关注
实名认证
内容提供者

乐于和他人分享知识,从事历史教学,热爱教育,高度负责。

确认删除?
VIP
微信客服
  • 扫码咨询
会员Q群
  • 会员专属群点击这里加入QQ群
客服邮箱
回到顶部