电脑桌面
添加小米粒文库到电脑桌面
安装后可以在桌面快捷访问

高考数学各地名校试题解析分类汇编(一)3 导数1 理VIP免费

高考数学各地名校试题解析分类汇编(一)3 导数1 理_第1页
1/18
高考数学各地名校试题解析分类汇编(一)3 导数1 理_第2页
2/18
高考数学各地名校试题解析分类汇编(一)3 导数1 理_第3页
3/18
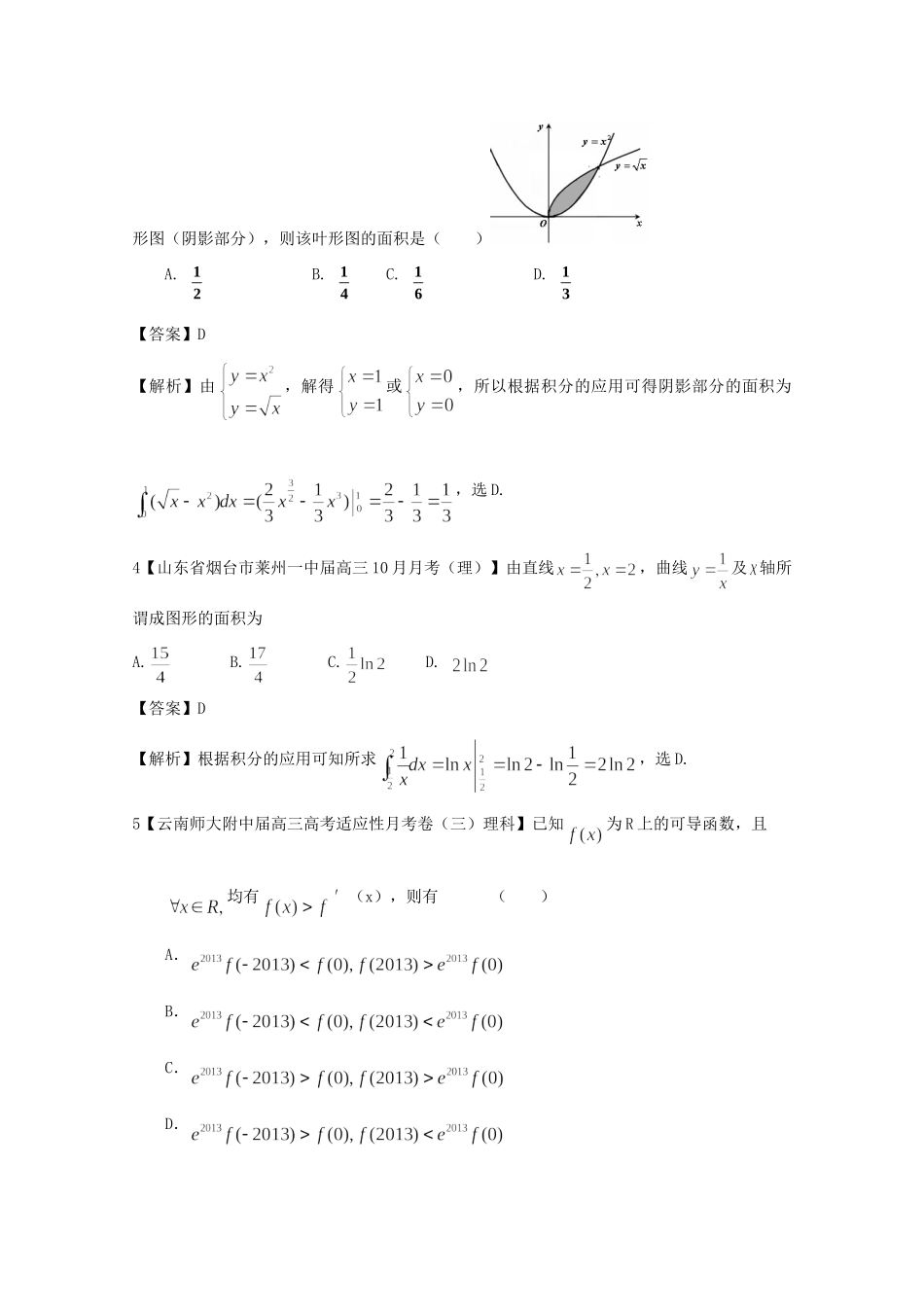
各地解析分类汇编:导数11【云南省玉溪一中届高三上学期期中考试理】已知曲线的一条切线的斜率为,则切点的横坐标为()A.3B.2C.1D.【答案】A【解析】函数的定义域为,函数的导数为,由,得,解得或(舍去),选A.2【云南师大附中届高三高考适应性月考卷(三)理科】如图3,直线y=2x与抛物线y=3-x2所围成的阴影部分的面积是()A.B.C.D.【答案】D【解析】,故选D.3【云南省玉溪一中届高三第三次月考理】如图所示,曲线2xy和曲线xy围成一个叶形图(阴影部分),则该叶形图的面积是()A.21B.41C.61D.31【答案】D【解析】由,解得或,所以根据积分的应用可得阴影部分的面积为,选D.4【山东省烟台市莱州一中届高三10月月考(理)】由直线,曲线及轴所谓成图形的面积为A.B.C.D.【答案】D【解析】根据积分的应用可知所求,选D.5【云南师大附中届高三高考适应性月考卷(三)理科】已知为R上的可导函数,且均有′(x),则有()A.B.C.D.【答案】A【解析】构造函数则,因为,均有并且,所以,故函数在R上单调递减,所以,即,也就是,故选A.6【山东省烟台市莱州一中届高三10月月考(理)】曲线在点处的切线与坐标轴所围三角形的面积为A.B.C.D.【答案】A【解析】,所以在点的导数为,即切线斜率为,所以切线方程为,令得,,令,得.所以三角形的面积为,选A.7【云南省昆明一中届高三新课程第一次摸底测试理】函数处的切线与坐标轴所围成的三角形的面积为A.B.C.D.【答案】D【解析】,所以在处的切线效率为,所以切线方程为,令,得,令,得,所以所求三角形的面积为,选D.8【山东省烟台市莱州一中20l3届高三第二次质量检测(理)】曲线在点处的切线方程是A.B.C.D.【答案】A【解析】,所以在点P处的切线斜率,所以切线方程为,选A.9【山东省烟台市莱州一中20l3届高三第二次质量检测(理)】由直线所围成的封闭图形的面积为A.B.1C.D.【答案】B【解析】由积分的应用得所求面积为,选B.10【天津市新华中学届高三上学期第二次月考理】已知函数满足,且的导函数,则的解集为A.B.C.D.【答案】D【解析】设,则,,对任意,有,即函数在R上单调递减,则的解集为,即的解集为,选D.11【山东省烟台市莱州一中20l3届高三第二次质量检测(理)】函数的大致图象如图所示,则等于A.B.C.D.【答案】C【解析】函数过原点,所以。又且,即且,解得,所以函数。所以,由题意知识函数的极值点,所以是的两个根,所以,,所以。12【山东省烟台市届高三上学期期中考试理】曲线在点处的切线方程是A.B.C.D.【答案】B【解析】即切线的斜率为-ln2.切点为,所以②③④切线方程为,即,选B.13【山东省烟台市届高三上学期期中考试理】如图,设D是图中边长分别为1和2的矩形区域,E是D内位于函数图象下方的阴影部分区域,则阴影部分E的面积为A.B.C.D.【答案】D【解析】故选D.14【山东省潍坊市四县一区届高三11月联考(理)】已知,若,则=A.1B.-2C.-2或4D.4【答案】D【解析】由得,,解得或(舍去),选D.15【山东省实验中学届高三第三次诊断性测试理】已知二次函数的导数,且的值域为,则的最小值为()A.3B.C.2D.【答案】C【解析】,,函数的值域为,所以,且,即,所以。所以,所以,所以最小值为2,选C.16【山东省泰安市届高三上学期期中考试数学理】已知函数yfx是定义在实数集R上的奇函数,且当0,0xfxxfx(其中fx是fx的导函数),设1122log4log4,22,afbf1lg5c115fg,则a,b,c的大小关系是A.cabB.cbaC.abcD.acb【答案】C【解析】令函数,则函数为偶函数.当时,,此时函数递增,则,,,因为,所以,选C.17【山东省实验中学届高三第二次诊断性测试理】我们常用以下方法求形如的函数的导数:先两边同取自然对数得:,再两边同时求导得到:,于是得到:,运用此方法求得函数的一个单调递增区间是A.(,4)B.(3,6)C(0,)D.(2,3)【答案】C【解析】由题意知,则,所以,由得,解得,即增区间为,选C.18【山东省济南外国语学校届高三上学期期中考试理科】若a>0,b>0,且函数在x=1处有极值,则ab...

1、当您付费下载文档后,您只拥有了使用权限,并不意味着购买了版权,文档只能用于自身使用,不得用于其他商业用途(如 [转卖]进行直接盈利或[编辑后售卖]进行间接盈利)。
2、本站所有内容均由合作方或网友上传,本站不对文档的完整性、权威性及其观点立场正确性做任何保证或承诺!文档内容仅供研究参考,付费前请自行鉴别。
3、如文档内容存在违规,或者侵犯商业秘密、侵犯著作权等,请点击“违规举报”。

碎片内容

高考数学各地名校试题解析分类汇编(一)3 导数1 理

文章天下+ 关注
实名认证
内容提供者

各种文档应有尽有

确认删除?
VIP
微信客服
  • 扫码咨询
会员Q群
  • 会员专属群点击这里加入QQ群
客服邮箱
回到顶部