电脑桌面
添加小米粒文库到电脑桌面
安装后可以在桌面快捷访问

高考数学各地名校试题解析分类汇编(一)12 选考部分 理VIP免费

高考数学各地名校试题解析分类汇编(一)12 选考部分 理_第1页
1/10
高考数学各地名校试题解析分类汇编(一)12 选考部分 理_第2页
2/10
高考数学各地名校试题解析分类汇编(一)12 选考部分 理_第3页
3/10
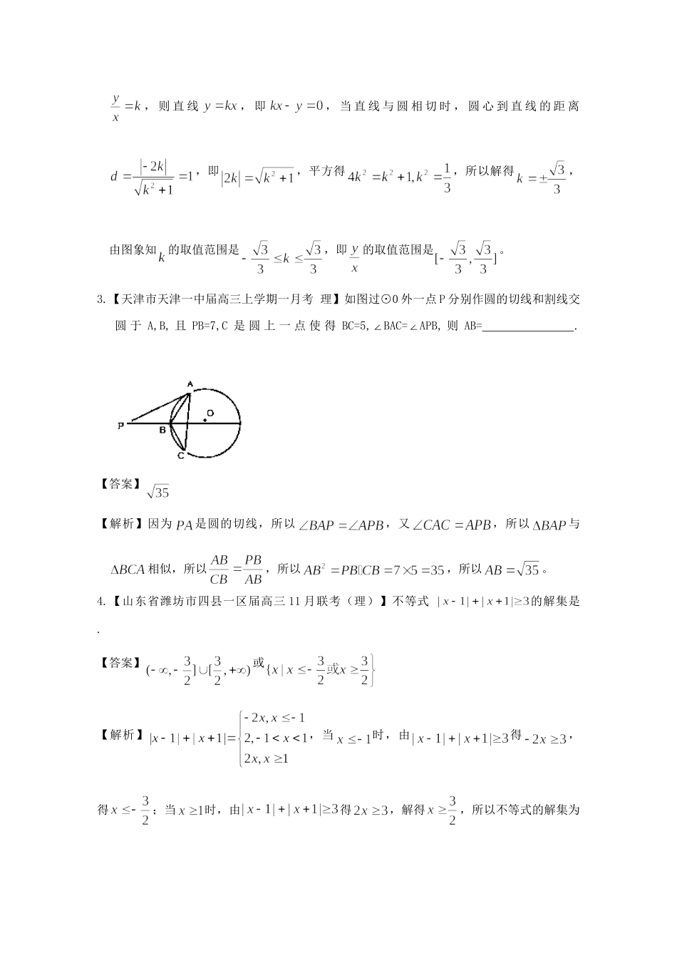
各地解析分类汇编:选考部分1.【云南省玉溪一中届高三第三次月考理】在ABC中,D为BC边上一点,BC=3BD,AD=,∠ADB=1350,若AC=AB,则BD=.【答案】【解析】作AH⊥BC于H,则1,1AHDH则1,21BHBDCHBD.又222ABBHAH,所以22(1)1ABBD,即,22(1)1ABBD,222222221(21)ACAHABAHABBD,所以222(21)1ABBD,即222(1)2(21)1BDBD,整理得22820BDBD,即2410BDBD,解得25BD或25BD(舍去).2.【天津市天津一中届高三上学期一月考理】点P(x,y)在曲线(θ为参数,θ∈R)上,则的取值范围是.【答案】【解析】消去参数得曲线的标准方程为,圆心为,半径为1.设,则直线,即,当直线与圆相切时,圆心到直线的距离,即,平方得,所以解得,由图象知的取值范围是,即的取值范围是。3.【天津市天津一中届高三上学期一月考理】如图过⊙0外一点P分别作圆的切线和割线交圆于A,B,且PB=7,C是圆上一点使得BC=5,∠BAC=∠APB,则AB=.【答案】【解析】因为是圆的切线,所以,又,所以与相似,所以,所以,所以。4.【山东省潍坊市四县一区届高三11月联考(理)】不等式的解集是.【答案】或【解析】,当时,由得,得;当时,由得,解得,所以不等式的解集为.5.【山东省实验中学届高三第一次诊断性测试理】不等式3≤l5-2xl<9的解集是A∞.(一,-2)U(7,+co)B.C.[-2,1】U【4,7】D.【答案】D【解析】由得,或,即或,所以不等式的解集为,选D.6.【山东省师大附中届高三12月第三次模拟检测理】不等式的解集为【答案】【解析】当时,原不等式等价为,即,此时。当时,原不等式等价为,即,此时。当时,原不等式等价为,即,此时不等式无解,综上不等式的解为,即不等式的解集为。7.【山东省实验中学届高三第二次诊断性测试理】已知函数.若不等式的解集为,则实数的值为.【答案】【解析】因为不等式的解集为,即是方程的两个根,即,所以,即,解得。8.【山东省聊城市东阿一中届高三上学期期初考试】如右图,是⊙的直径,是延长线上的一点,过作⊙的切线,切点为,,若,则⊙的直径.【答案】4【解析】因为根据已知条件可知,连接AC,,,根据切线定理可知,,可以解得为4.9.【云南省玉溪一中届高三第三次月考理】(本小题满分10分)选修4-4:坐标系与参数方程已知直线l的参数方程是)(242222是参数ttytx,圆C的极坐标方程为)4cos(2.(1)求圆心C的直角坐标;(2)由直线l上的点向圆C引切线,求切线长的最小值.【答案】解:(I)sin2cos2,sin2cos22,…………(2分)02222yxyxC的直角坐标方程为圆,…………(3分)即1)22()22(22yx,)22,22(圆心直角坐标为.…………(5分)(II)方法1:直线l上的点向圆C引切线长是6224)4(4081)242222()2222(2222ttttt,…………(8分)AOBPC∴直线l上的点向圆C引的切线长的最小值是62…………(10分)方法2:024yxl的普通方程为直线,…………(8分)圆心C到l直线距离是52|242222|,∴直线l上的点向圆C引的切线长的最小值是621522…………(10分)10.【云南省玉溪一中届高三第三次月考理】(本小题满分10分)选修4-5:不等式选讲已知函数f(x)=|x+1|+|x﹣2|﹣m(I)当5m时,求f(x)>0的解集;(II)若关于x的不等式f(x)≥2的解集是R,求m的取值范围.【答案】解:(I)由题设知:5|2||1|xx,不等式的解集是以下三个不等式组解集的并集:5212xxx,或52121xxx,或5211xxx,解得函数)(xf的定义域为),3()2,(;…………(5分)(II)不等式f(x)≥2即2|2||1|mxx, Rx时,恒有3|)2()1(||2||1|xxxx,不等式2|2||1|mxx解集是R,∴32m,m的取值范围是]1,(.…………(10分)11.【云南省玉溪一中届高三第四次月考理】(本小题满分10分)《选修4-4:坐标系与参数方程》在直角坐标系中,以原点为极点,x轴的正半轴为极轴建坐标系,已知曲线cos2sin:2aC)0(a,已...

1、当您付费下载文档后,您只拥有了使用权限,并不意味着购买了版权,文档只能用于自身使用,不得用于其他商业用途(如 [转卖]进行直接盈利或[编辑后售卖]进行间接盈利)。
2、本站所有内容均由合作方或网友上传,本站不对文档的完整性、权威性及其观点立场正确性做任何保证或承诺!文档内容仅供研究参考,付费前请自行鉴别。
3、如文档内容存在违规,或者侵犯商业秘密、侵犯著作权等,请点击“违规举报”。

碎片内容

高考数学各地名校试题解析分类汇编(一)12 选考部分 理

文章天下+ 关注
实名认证
内容提供者

各种文档应有尽有

确认删除?
VIP
微信客服
  • 扫码咨询
会员Q群
  • 会员专属群点击这里加入QQ群
客服邮箱
回到顶部