电脑桌面
添加小米粒文库到电脑桌面
安装后可以在桌面快捷访问

(新课程)高中数学 《3.2.1对数及其运算(三)》教案 新人教B版必修1VIP免费

(新课程)高中数学 《3.2.1对数及其运算(三)》教案 新人教B版必修1_第1页
1/3
(新课程)高中数学 《3.2.1对数及其运算(三)》教案 新人教B版必修1_第2页
2/3
(新课程)高中数学 《3.2.1对数及其运算(三)》教案 新人教B版必修1_第3页
3/3
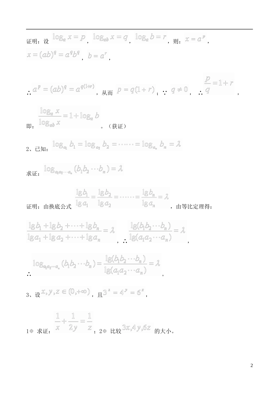
3.2.1对数及其运算(三)教学目标:掌握对数的换底公式教学重点:掌握对数的换底公式教学过程:1、首先可以通过实例研究当一个对数式的底数改变时,整个对数式会发生什么变化?如求设,写成指数式是,取以为底的对数得即.在这个等式中,底数3变成后对数式将变成等式右边的式子.一般地关于对数换底公式的证明方法有很多,这里可以仿照刚才具体的例子计算过程证明对数换底公式,证明的基本思路就是借助指数式.换底公式的意义是把一个对数式的底数改变可将不同底问题化为同底,便于使用运算法则.由换底公式可得:(1).(2).(2、例题:1、证明:1证明:设,,,则:,,,∴,从而;∵,∴,即:。(获证)2、已知:求证:证明:由换底公式,由等比定理得:,∴,∴。3、设,且,1求证:;2比较的大小。21证明:设,∵,∴,取对数得:,,,∴;2,∴,又,∴,∴。课堂练习:教材第109页练习A、B小结:本节课学习了对数的换底公式课后作业:习题3—2B,1、23

1、当您付费下载文档后,您只拥有了使用权限,并不意味着购买了版权,文档只能用于自身使用,不得用于其他商业用途(如 [转卖]进行直接盈利或[编辑后售卖]进行间接盈利)。
2、本站所有内容均由合作方或网友上传,本站不对文档的完整性、权威性及其观点立场正确性做任何保证或承诺!文档内容仅供研究参考,付费前请自行鉴别。
3、如文档内容存在违规,或者侵犯商业秘密、侵犯著作权等,请点击“违规举报”。

碎片内容

(新课程)高中数学 《3.2.1对数及其运算(三)》教案 新人教B版必修1

您可能关注的文档

确认删除?
VIP
微信客服
  • 扫码咨询
会员Q群
  • 会员专属群点击这里加入QQ群
客服邮箱
回到顶部