电脑桌面
添加小米粒文库到电脑桌面
安装后可以在桌面快捷访问

高一数学1. 一元二次不等式的解法教案VIP免费

高一数学1. 一元二次不等式的解法教案_第1页
1/6
高一数学1. 一元二次不等式的解法教案_第2页
2/6
高一数学1. 一元二次不等式的解法教案_第3页
3/6
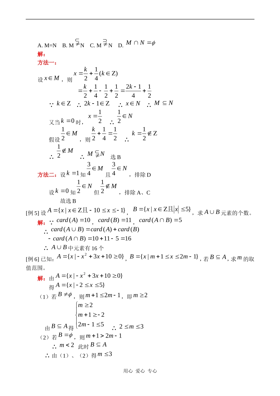
一.教学内容:1.一元二次不等式的解法2.第一单元集合的小结与复习二.重、难点:1.重点:(1)一元二次不等式的解法。(2)集合的基本概念,集合之间的关系,不等式的解法。2.难点:集合的有关概念之间的联系与区别,集合的应用。【典型例题】[例1]解不等式:(1)0232xx(2)0262xx(3)132x(4)2232xxx解:(1)原不等式化为:0)1)(23(xx∴32x或1x∴原不等式的解集是}132|{xxx或(2)原不等式化为:0262xx0)12)(23(xx∴32x或21x∴原不等式的解集为{32|xx或21x}(3)原不等式化为:0132x0332xx031xx同解于0)3)(1(xx且03x∴3x或1x∴原不等式的解集为{3|xx或1x}(4)原不等式化为:2232xxx或2232xxx042xx或0422xx用心爱心专心∴0x或4x或x∴原不等式的解集为{0|xx或4x}[例2]已知不等式02cbxax的解集为}|{xx,0,求不等式02abxcx的解集。解: 原不等式的解为x∴0a∴由根与系数关系得:ab,ac将02abxcx的两边同除以a,得:012xabxac即01)(2xx∴0)1)(1(xx又 0∴11∴02abxcx的解集为{1|xx或1x}[例3]a为何值时,不等式02)1()23(22xaxaa的解为一切实数?解:(1)当0232aa时,得1a或2a①1a时,原不等式化为02恒成立∴1a适合②2a时,原不等式化为02x∴2x∴2a不适合(2)当0232aa时则必须有由①:1a或2a由②:1a或715a∴不等式组的解为1a或715a综上所述,a的取值范围是1a或715a[例4]已知},412|{kkxxM,},214|{kkxxN则()用心爱心专心A.M=NB.MNC.MND.NM解:方法一:设Mx,则)(412kkx214122121412kk k∴12k∴Nx∴NM又当0k时,21x∴N21假设M21,则21412k∴21k∴M21∴NM选B方法二:设1k知M43且N43,排除D设0k知N21但M21,排除A、C故选B[例5]设}110|{xxxA且,}5|{xxxB且,求BA元素的个数。解: 10)(Acard,11)(Bcard,5)(BAcard∴)()()(BcardAcardBAcard1651110)(BAcard∴BA中元素有16个[例6]已知:}0103|{2xxxA,}121|{mxmxB,若AB,求m的取值范围。解:由}0103|{2xxxA得}52|{xxA(1)若B,则121mm,即2m由AB得512212mmm∴32m(2)若B,则121mm∴2m此时AB∴由(1)、(2)得3m用心爱心专心[例7]已知:}1|),{(kykxyxA,}2|),{(kkyxyxB,其中k为实系数,求BA。解:要求BA即可求的解由②得:kkyx2③③代入①得:)1()2(kkkyky)1)(12()1(2kkyk当1k时,112kky,1kkx∴)}1,112{(kkkkBA当1k时,22xyxy∴}2|),{(xyyxBA当1k时,2xyxy∴BA[例8]关于实数的不等式2)1(2)1(22aax与0)13(2)1(32axax的解集分别为A、B,求使BA的实数a的取值范围。解:由已知,}12|{2axaxA aa212∴A设)13(2)1(32axaxyBA等价于方程0)13(2)1(32axax的根分别在ax2与12ax的范围内于是0)3()1)(1(1022222aaaayaxayax时当时当解得31a或1aa的取值范围是:31a或1a【模拟试题】(答题时间:25分钟)一.选择题:1.},1|{2NxxyyA,22|{2aayyB},Na则()A.A=BB.ABC.BAD.A/B2.设}21|{xxA,}|{axxB若BA,则实数a的集合为()用心爱心专心A.}2|{aaB.}1|{aaC.}1|{aaD.}21|{aa3.若},61|{mmxxM,,312|{nxxN}n,2|{pxxP61,}p则M、N、P的关系是()A.M=NPB.MNPC....

1、当您付费下载文档后,您只拥有了使用权限,并不意味着购买了版权,文档只能用于自身使用,不得用于其他商业用途(如 [转卖]进行直接盈利或[编辑后售卖]进行间接盈利)。
2、本站所有内容均由合作方或网友上传,本站不对文档的完整性、权威性及其观点立场正确性做任何保证或承诺!文档内容仅供研究参考,付费前请自行鉴别。
3、如文档内容存在违规,或者侵犯商业秘密、侵犯著作权等,请点击“违规举报”。

碎片内容

高一数学1. 一元二次不等式的解法教案

您可能关注的文档

雨丝书吧+ 关注
实名认证
内容提供者

乐于和他人分享知识,从事历史教学,热爱教育,高度负责。

相关文档

确认删除?
VIP
微信客服
  • 扫码咨询
会员Q群
  • 会员专属群点击这里加入QQ群
客服邮箱
回到顶部