电脑桌面
添加小米粒文库到电脑桌面
安装后可以在桌面快捷访问

高中数学:3.1.2《两角和与差的正切》教案(新人教A版必修4)VIP免费

高中数学:3.1.2《两角和与差的正切》教案(新人教A版必修4)_第1页
1/4
高中数学:3.1.2《两角和与差的正切》教案(新人教A版必修4)_第2页
2/4
高中数学:3.1.2《两角和与差的正切》教案(新人教A版必修4)_第3页
3/4
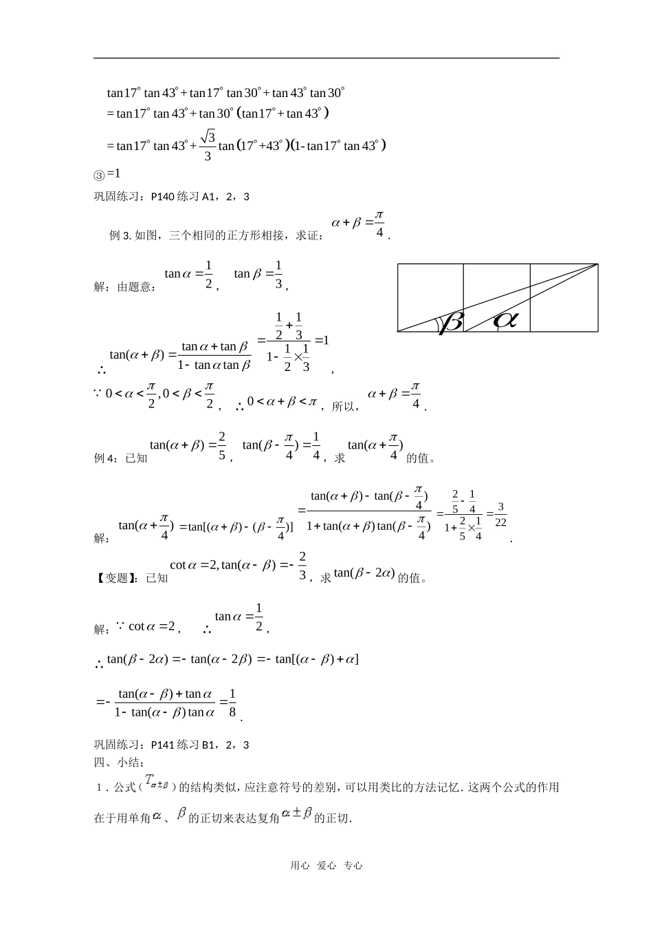
3.1.2两角和与差的正切一、教学目标:1、知识与技能:⑴掌握公式及其推导过程,理解公式成立的条件;会用公式求值。⑵培养学生的观察、分析、类比、联想能力;间接推理能力;自学能力。2、过程与方法:由学生熟知的两角和与差的正弦、余弦公式,引导学生推导出两角和与差的正切公式,通过教师的提问,学生观察,分析,讨论及练习。及时搜集反馈信息,动态调整教学过程,引导学生攻克难点,掌握重点。3、情感态度、价值观:发展学生的正向、逆向思维和发散思维能力,构建良好的数学思维品质。二、教学重点:公式的结构特点及其推导方法、成立条件,运用公式求值。教学难点:公式的逆向和变形应用。三、教学过程:1、复习引入复习:两角和与差的正、余弦公式S+,S,C+,Csin+sincos+cossinsinsincoscossincoscoscossinsincoscoscossinsin提出问题:复角与单角,的正弦、余弦函数存在以上关系,那么能否用tantan和来表示tan呢?2、两角和与差正切公式的推导及理解T+,T⑴tan(+)公式的推导(让学生回答)∵cos(+)0tan(+)=sinsincoscossincoscossin)cos()sin(当coscos0时分子分母同时除以coscos得:tantantan1tantan以代得:tantantantantantan1tantan1tantan⑵思考讨论:①公式是如何推导出来的?有什么限制条件?②公式有何特点?如何记忆?③公式有何用处?有何变形?用心爱心专心⑶注意:1、必须在定义域范围内使用上述公式。即:tan,tan,tan(±)只要有一个不存在就不能使用这个公式,只能(也只需)用诱导公式来解。2、注意公式的结构,尤其是符号。3、()T公式的变形:tantantan()(1tantan)tantantan()(1tantan)思考:公式cot=?3.公式的应用例1.求下列各式的值:①tan15,②tan75,③26tan71tan126tan71tan解:tan15=tan(4530)=32636123333331331tan75=tan(45+30)=32636123333331331145tan)2671tan(26tan71tan126tan71tan例2.不查表求值①75tan175tan1②tan17+tan28+tan17tan28③tan17tan43+tan17tan30+tan43tan30解:①1tan75tan45+tan75==tan45+75=-31tan751-tan45tan75②tan17+tan28+tan17tan28=tan17+281-tan17tan28+tan17tan28=1用心爱心专心③tan17tan43+tan17tan30+tan43tan30=tan17tan43+tan30tan17+tan433=tan17tan43+tan17+431-tan17tan433=1巩固练习:P140练习A1,2,3例3.如图,三个相同的正方形相接,求证:4.解:由题意:1tan2,1tan3,∴tantantan()1tantan1123111123,0,022,∴0,所以,4.例4:已知2tan()5,1tan()44,求tan()4的值。解:tan()4tan[()()]4tan()tan()41tan()tan()4213542122154.【变题】:已知2cot2,tan()3,求tan(2)的值。解:cot2,∴1tan2,∴tan(2)tan(2)tan[()]tan()tan11tan()tan8.巩固练习:P141练习B1,2,3四、小结:1.公式()的结构类似,应注意符号的差别,可以用类比的方法记忆.这两个公式的作用在于用单角、的正切来表达复角的正切.用心爱心专心2.有关两角和差的余切问题,一般都是将它由同角公式的倒数关系化为两角和差的正切,用公式来解决.3.“化未知为已知”是推导公式和数学解题的常用方法;“公式的逆用”与“1的变式”是数学解题中常用的技巧。我们应该熟练掌握这些方法和技巧.五、作业:P141练习3-1A中5P142习题3-1B1,4,5,6,7用心爱心专心

1、当您付费下载文档后,您只拥有了使用权限,并不意味着购买了版权,文档只能用于自身使用,不得用于其他商业用途(如 [转卖]进行直接盈利或[编辑后售卖]进行间接盈利)。
2、本站所有内容均由合作方或网友上传,本站不对文档的完整性、权威性及其观点立场正确性做任何保证或承诺!文档内容仅供研究参考,付费前请自行鉴别。
3、如文档内容存在违规,或者侵犯商业秘密、侵犯著作权等,请点击“违规举报”。

碎片内容

高中数学:3.1.2《两角和与差的正切》教案(新人教A版必修4)

您可能关注的文档

;绿洲书城+ 关注
实名认证
内容提供者

从事历史教学,热爱教育,高度负责。

确认删除?
VIP
微信客服
  • 扫码咨询
会员Q群
  • 会员专属群点击这里加入QQ群
客服邮箱
回到顶部