电脑桌面
添加小米粒文库到电脑桌面
安装后可以在桌面快捷访问

高中数学第三章 数列 第7教时人教版第一册VIP免费

高中数学第三章 数列 第7教时人教版第一册_第1页
1/3
高中数学第三章 数列 第7教时人教版第一册_第2页
2/3
高中数学第三章 数列 第7教时人教版第一册_第3页
3/3
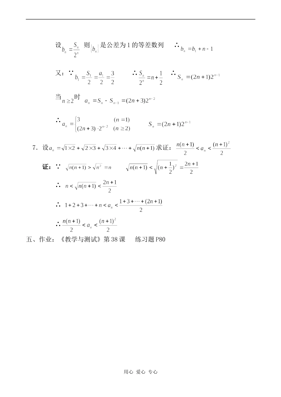
第三章数列第七教时教材:等差数列的综合练习目的:通过练习,要求学生对等差数列的定义,通项公式,求和公式及其性质有深刻的理解。过程:一、复习:1.等差数列的定义,通项公式—关于的一次函数2.判断一个数列是否成等差数列的常用方法3.求等差数列前项和的公式二、处理《教学与测试》P79第38课例题1、2、3三、补充例题《教学与测试》备用题1.成等差数列的四个数之和为26,第二数和第三数之积为40,求这四个数.解:设四个数为则:由①:代入②得:∴四个数为2,5,8,11或11,8,5,2.2.在等差数列中,若求.解:∵∴而3.已知等差数列的前项和为,前项和为,求前项和.解:由题设∴而从而:四、补充例题:(供参考,选用)用心爱心专心4.已知,求及.解:从而有∵∴∴∴5.已知求的关系式及通项公式解:②①:即:将上式两边同乘以得:即:显然:是以1为首项,1为公差的AP∴∴6.已知,求及.解:∵∴∴用心爱心专心设则是公差为1的等差数列∴又:∵∴∴当时∴7.设求证:证:∵∴∴∴五、作业:《教学与测试》第38课练习题P80用心爱心专心

1、当您付费下载文档后,您只拥有了使用权限,并不意味着购买了版权,文档只能用于自身使用,不得用于其他商业用途(如 [转卖]进行直接盈利或[编辑后售卖]进行间接盈利)。
2、本站所有内容均由合作方或网友上传,本站不对文档的完整性、权威性及其观点立场正确性做任何保证或承诺!文档内容仅供研究参考,付费前请自行鉴别。
3、如文档内容存在违规,或者侵犯商业秘密、侵犯著作权等,请点击“违规举报”。

碎片内容

高中数学第三章 数列 第7教时人教版第一册

您可能关注的文档

;绿洲书城+ 关注
实名认证
内容提供者

从事历史教学,热爱教育,高度负责。

确认删除?
VIP
微信客服
  • 扫码咨询
会员Q群
  • 会员专属群点击这里加入QQ群
客服邮箱
回到顶部