电脑桌面
添加小米粒文库到电脑桌面
安装后可以在桌面快捷访问

高中数学数列递推关系式教案新人教A版必修5VIP免费

高中数学数列递推关系式教案新人教A版必修5_第1页
1/4
高中数学数列递推关系式教案新人教A版必修5_第2页
2/4
高中数学数列递推关系式教案新人教A版必修5_第3页
3/4
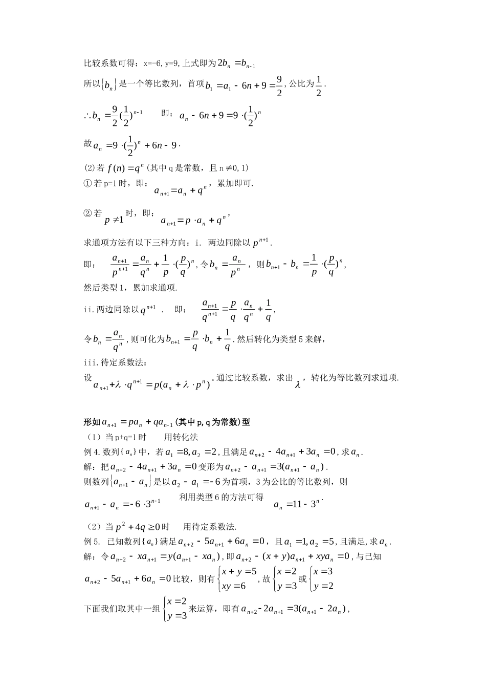
授课教师:邱先春授课时间:2009年11月24日第三节课授课班级:高三(9)班课型:复习课教学目的:一、知识与技能1、递推关系式的概念.2、利用递推关系式求数列的前几项3、各种递推关系式球数列的通项公式.二、过程与方法1、通过研究递推关系式的变形帮助学生数学推理与计算的严谨性和科学性,感受转化归一的数学思想和分类讨论的数学思想.2、通过探究与计算、推理与证明,培养学生逻辑思维能力和计算推理能力.三、情感态度与价值观1、通过具体的递推关系式的推理与计算,使学生感受到数学推理的美妙,激发学生的学习兴趣.2、在教学过程中通过学生的相互交流,来加深对各种递推关系式结构和方法的理解,增强学生数学交流能力,培养学生倾听、接受别人意见的优良品质.教学重点:1、递推关系式的概念和性质;2、根据递推关系式求解通项公式.教学难点:根据各种形式递推关系式求解通项公式.教学方法:探究式、讨论式、合作式.教学过程:一、复习回顾引入问题:已知数列{an}满足a1=1,且an+1=3na+1,求an。分析一:归纳法。由递推公式,可求出a2=4,a3=13,a4=40。则a2-a1=3=31,a3-a2=9=32,a4-a3=27=33。由此猜测:an-an-1=3n-1(可用数学归纳法证明),所以an-1-an-2=3n-2,an-2-an-3=3n-3……,a4-a3=33,a3-a2=32,a2-a1=31,把上式子累加,得,an-a1=31+32+33+……+3n-1=,得an=312n。分析二:构造法。由an+1=3na+1,得an+1+12=3(an+12),即数列{an+12}为一个公比为3的等比数列,则an+12=(1+12)·3n-1=312n。分析三:迭代法。an=3an-1+1=3(3an-2+1)+1=32an-2+31+1=…=3n-1a1+3n-21+3n-31+…+31+1=312n点评:(1)分析一中先猜测出前后两项差的关系,再用累加法求出通项;这种用不完全归纳法求出前几项再找规律的的方法,对所有求数列通项的题均适用,应培养归纳能力;(2)分析二中构造出新数列,由新数列求出an的通项;(3)分析三使用迭代法,这也是由递推式求通项的基本方法。本文将由此例题展开,对它进行各种变形,力求归纳出由递推公式求通项公式的方法。二、例题精讲例1.已知数列{an}中,a1=1,对任意自然数n都有12(1)nnaann,求an。分析:由已知,12(1)nnaann,122(1)nnaann,……,32234aa,21223aa,累加,得an-a1=11112...(1)(1)(2)(1)23nnnnnn=11221n。点评:(1)例3由例1中的常数项1变为f(n)而得来;(2)递推式为an+1=an+f(n),只要f(1)+f(2)+……+f(n-1)是可求的,可用累加法求出。(3)今年安徽题中也有这样一题:已知数列{an}中a1=1,且a2k=a2k-1+(-1)k,a2k+1=a2k+3k,其中k=1,2,3……(1)求a3,a5(2)求数列{an}的通项公式。这是一个an+1=an+f(n)型的函数,只不过偶数项减奇数项与奇数项减偶数项的f(n)不同而已,依照上法,可以轻松求解。(4)运用类比推理的思想方法,把例3与例1的形式进行比较后可看出类似之处,从而在方法上类同。对递推式为an+1=pan+q(p、q为常数)时,可构造新数列an+1+1qp=p(an+1qp)。其证明的简略过程如下:由an+1=pan+q,令an+1+x=p(an+x),化简,得an+1=pan+px-x,因此px-x=q,即x=1qp。得证。例2:已知数列{an}中,a1=1,13nnnaaa,求an。分析:把两边取倒数,可得11131nnaa。令1nnba,则bn+1=3bn+1,即引入问题,按上法可求解。点评:(1)转换问题,化成基本型后求解(运用反思维定势定势方法中的转移思维方法)(2)对分式型递推数列可归纳如下:设a1=a,1(0)nnncadaaaab①若d=0,则上式变形为111nnbaacac,令1nnba,则1nnbabbcc,即基本型。②若d,c≠0,且bc≠ad,令an=bn+t(t为待定系数)转化为情形①。例3.在数列{}na中,362,2311naaann,求通项na.解:原递推式可化为ynxayxnann)1()(21比较系数可得:x=-6,y=9,上式即为12nnbb所以nb是一个等比数列,首项299611nab,公比为21.1)21(29nnb即:nnna)21(996故96)21(9nann.(2)若nqnf)((其中q是常数,且n0,1)①若p=1时,即:nnnqaa1,累加即可.②若1p时...

1、当您付费下载文档后,您只拥有了使用权限,并不意味着购买了版权,文档只能用于自身使用,不得用于其他商业用途(如 [转卖]进行直接盈利或[编辑后售卖]进行间接盈利)。
2、本站所有内容均由合作方或网友上传,本站不对文档的完整性、权威性及其观点立场正确性做任何保证或承诺!文档内容仅供研究参考,付费前请自行鉴别。
3、如文档内容存在违规,或者侵犯商业秘密、侵犯著作权等,请点击“违规举报”。

碎片内容

高中数学数列递推关系式教案新人教A版必修5

您可能关注的文档

确认删除?
VIP
微信客服
  • 扫码咨询
会员Q群
  • 会员专属群点击这里加入QQ群
客服邮箱
回到顶部