电脑桌面
添加小米粒文库到电脑桌面
安装后可以在桌面快捷访问

高中数学 第四章 三角函数小结与复习(4)教案VIP免费

高中数学 第四章 三角函数小结与复习(4)教案_第1页
1/6
高中数学 第四章 三角函数小结与复习(4)教案_第2页
2/6
高中数学 第四章 三角函数小结与复习(4)教案_第3页
3/6
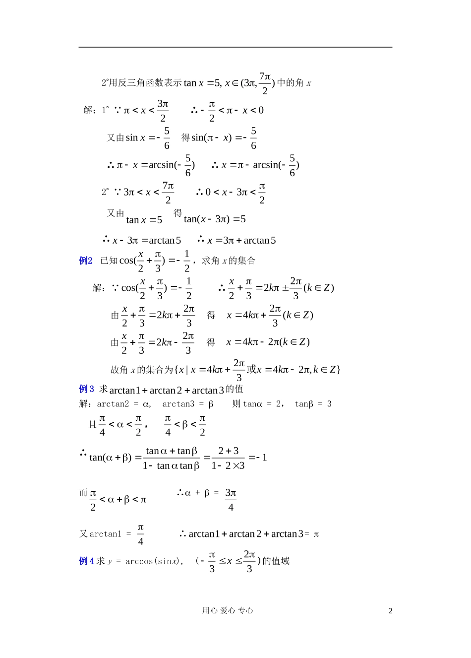
三角函数小结与复习(4)知识目标:1任意角的三角函数、任意角的概念、弧度制、任意角的三角函数的概念、同角三角函数间的关系、诱导公式;2两角和与差的三角函数、二倍角的三角函数;3三角函数的图象和性质、已知三角函数值求角教学目的:1理解任意角的概念、弧度的意义;能正确地进行弧度与角度的换算;2掌握任意角的正弦、余弦、正切的定义,并会利用与单位圆有关的三角函数线表示正弦、余弦和正切;了解任意角的余切、正割、余割的定义;掌握同角三角函数的基本关系式;掌握正弦、余弦的诱导公式;3掌握两角和与两角差的正弦、余弦、正切公式;掌握二倍角的正弦、余弦、正切公式;4能正确运用三角公式,进行三角函数式的化简、求值及恒等式证明;5会用与单位圆有关的三角函数线画出正弦函数、正切函数的图象,并在此基础上由诱导公式画出余弦函数的图象;理解周期函数与最小正周期的意义;并通过它们的图象理解正弦函数、余弦函数、正切函数的性质;会用“五点法”画正弦函数、余弦函数和函数y=Asin(ωx+)的简图,理解A、ω、的物理意义;6会用已知三角函数值求角,并会用符号arcsinx、arccosx、arctanx表示教学重点:三角函数的知识网络结构及各部分知识教学难点:熟练掌握各部分知识,并能灵活应用其解决相关问题德育目标:1渗透“变换”思想、“化归”思想;2培养逻辑推理能力;3培养学生探求精神教学方法:讲练结合法通过讲解强化训练题目,加深对三角函数知识的理解,提高对三角函数知识的应用能力授课类型:复习课课时安排:1课时教具:多媒体、实物投影仪教学过程:一、讲解范例:例11用反三角函数表示)23,(,65sinxx中的角x用心爱心专心12用反三角函数表示)27,3(,5tanxx中的角x解:1 23x∴02x又由65sinx得65)sin(x∴)65arcsin(x∴)65arcsin(x2 273x∴230x又由5tanx得5)3tan(x∴5arctan3x∴5arctan3x例2已知21)32cos(x,求角x的集合解: 21)32cos(x∴)(32232Zkkx由32232kx得)(324Zkkx由32232kx得)(24Zkkx故角x的集合为},24324|{Zkkxkxx或例3求3arctan2arctan1arctan的值解:arctan2=,arctan3=则tan=2,tan=3且24,24∴132132tantan1tantan)tan(而2∴+=43又arctan1=4∴3arctan2arctan1arctan=例4求y=arccos(sinx),(323x)的值域用心爱心专心2解:设u=sinx 323x∴123u∴65)arccos(sin0x∴所求函数的值域为]65,0[例5设x[0,2],f(x)=sin(cosx),g(x)=cos(sinx)求f(x)和g(x)的最大值和最小值,并将它们按大小顺序排列起来解: 在[0,2]上y=cosx单调递减,且cosx[0,1]在此区间内y=sinx单调递增且sinx[0,1]∴f(x)=sin(cosx)[0,sin1]最小值为0,最大值为sin1g(x)=cos(sinx)[cos1,1]最小值为cos1,最大值为1 cos1=sin(21)0∴2k≤t<2k+2(kZ)∴2k≤431x<2k+2(kZ)6k-43≤x<6k+43(kZ)∴f(x)=)431cos(log21x的单调递减区间是[6k-43,6k+43)(kZ)二、小...

1、当您付费下载文档后,您只拥有了使用权限,并不意味着购买了版权,文档只能用于自身使用,不得用于其他商业用途(如 [转卖]进行直接盈利或[编辑后售卖]进行间接盈利)。
2、本站所有内容均由合作方或网友上传,本站不对文档的完整性、权威性及其观点立场正确性做任何保证或承诺!文档内容仅供研究参考,付费前请自行鉴别。
3、如文档内容存在违规,或者侵犯商业秘密、侵犯著作权等,请点击“违规举报”。

碎片内容

高中数学 第四章 三角函数小结与复习(4)教案

您可能关注的文档

确认删除?
VIP
微信客服
  • 扫码咨询
会员Q群
  • 会员专属群点击这里加入QQ群
客服邮箱
回到顶部