电脑桌面
添加小米粒文库到电脑桌面
安装后可以在桌面快捷访问

高中数学 第二章 基本初等函数(Ⅰ) 2.1.1 指数与指数幂的运算 第2课时 指数幂及运算教案 新人教A版必修1-新人教A版高一必修1数学教案VIP免费

高中数学 第二章 基本初等函数(Ⅰ) 2.1.1 指数与指数幂的运算 第2课时 指数幂及运算教案 新人教A版必修1-新人教A版高一必修1数学教案_第1页
1/11
高中数学 第二章 基本初等函数(Ⅰ) 2.1.1 指数与指数幂的运算 第2课时 指数幂及运算教案 新人教A版必修1-新人教A版高一必修1数学教案_第2页
2/11
高中数学 第二章 基本初等函数(Ⅰ) 2.1.1 指数与指数幂的运算 第2课时 指数幂及运算教案 新人教A版必修1-新人教A版高一必修1数学教案_第3页
3/11
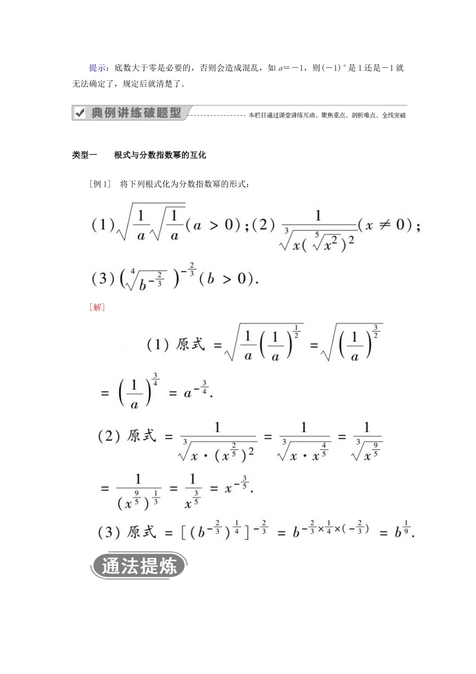
第2课时指数幂及运算[目标]1.理解有理数指数幂的含义,了解实数指数幂的意义,掌握根式与分数指数幂的互化;2.掌握有理数指数幂的运算性质.[重点]根式与分数指数幂的互化.[难点]运用有理数指数幂运算性质进行化简、求值.知识点一分数指数幂的意义[填一填][答一答]提示:2.负数也有分数指数幂吗?提示:知识点二有理数指数幂的运算性质[填一填](1)aras=ar+s(a>0,r,s∈Q);(2)(ar)s=ars(a>0,r,s∈Q);(3)(ab)r=arbr(a>0,b>0,r∈Q).[答一答]3.在有理数指数幂的运算性质中,为什么要规定a>0?提示:(1)若a=0,∵0的负数指数幂无意义,∴(ab)r=ar·br,当r<0时不成立,∴a≠0.(2)若a<0,(ar)s=ars也不一定成立,∴a<0时不成立.因此规定a>0.4.若a∈R,α、β∈Q,(aα)β一定等于(aβ)α吗?试举例说明.提示:知识点三无理数指数幂[填一填]一般地,无理数指数幂aα(a>0,α是无理数)是一个确定的实数.有理数指数幂的运算性质同样适用于无理数指数幂.[答一答]5.为什么在规定无理数指数幂的意义时,必须规定底数是正数?提示:底数大于零是必要的,否则会造成混乱,如a=-1,则(-1)α是1还是-1就无法确定了,规定后就清楚了.类型一根式与分数指数幂的互化[例1]将下列根式化为分数指数幂的形式:[解][变式训练1]用分数指数幂表示下列各式(a>0,b>0):(1)·;(2);(3)·;(4)()2·.解:类型二利用分数指数幂的性质化简与求值[例2]计算下列各式:[解]1进行指数幂运算的一般方法为化负数为正数,化根式为分数指数幂,化小数为分数.2一般情况下,指数的底数是大于0的,但具体题目要具体对待,一定要注意底数的正负.[变式训练2]计算或化简下列各式(其中式子中的字母均为正数).解:类型三条件因式的化简与求值[解](1)得a+a-1+2=9,即a+a-1=7.解:1.·等于(A)A.-B.-C.D.解析:由已知,得a≤0,则·==-,故选A.2.计算-0.01-0.5+0.2-2-(2-3)-1+(10-3)0的结果为(B)A.15B.17C.35D.37解析:解析:解析:解:∴x+x-1=14,∴x2+2+x-2=196,∴x2+x-2=194,∴原式==-3.——本课须掌握的问题根式一般先转化成分数指数幂,然后利用有理数指数幂的运算性质进行运算.在将根式化为分数指数幂的过程中,一般采用由内到外逐层变换的方法,然后运用运算性质准确求解.学习至此,请完成课时作业15指数幂与常用乘法公式的综合问题开讲啦指数幂常与平方差、立方和(差)以及完全平方公式相结合,达成公式变形.熟练运用公式变形,可使题目快速巧妙地解决.[典例]化简下列各式(x>0,y>0):[分析]善于根据题目特点利用平方差公式、立方差、立方和公式化简.[解][名师点评]对于分式的化简求值,我们应着重掌握乘法公式在分数指数幂中的应用,并能灵活运用乘法公式,熟记并灵活使用下列常用公式:①a2-b2=(a-b)(a+b);②a3-b3=(a-b)(a2+ab+b2);③a3+b3=(a+b)(a2-ab+b2).证明:

1、当您付费下载文档后,您只拥有了使用权限,并不意味着购买了版权,文档只能用于自身使用,不得用于其他商业用途(如 [转卖]进行直接盈利或[编辑后售卖]进行间接盈利)。
2、本站所有内容均由合作方或网友上传,本站不对文档的完整性、权威性及其观点立场正确性做任何保证或承诺!文档内容仅供研究参考,付费前请自行鉴别。
3、如文档内容存在违规,或者侵犯商业秘密、侵犯著作权等,请点击“违规举报”。

碎片内容

高中数学 第二章 基本初等函数(Ⅰ) 2.1.1 指数与指数幂的运算 第2课时 指数幂及运算教案 新人教A版必修1-新人教A版高一必修1数学教案

您可能关注的文档

确认删除?
VIP
微信客服
  • 扫码咨询
会员Q群
  • 会员专属群点击这里加入QQ群
客服邮箱
回到顶部