电脑桌面
添加小米粒文库到电脑桌面
安装后可以在桌面快捷访问

高中数学 3.1.2《两角和与差的正弦(一)》教案 苏教版必修4VIP免费

高中数学 3.1.2《两角和与差的正弦(一)》教案 苏教版必修4_第1页
1/3
高中数学 3.1.2《两角和与差的正弦(一)》教案 苏教版必修4_第2页
2/3
高中数学 3.1.2《两角和与差的正弦(一)》教案 苏教版必修4_第3页
3/3
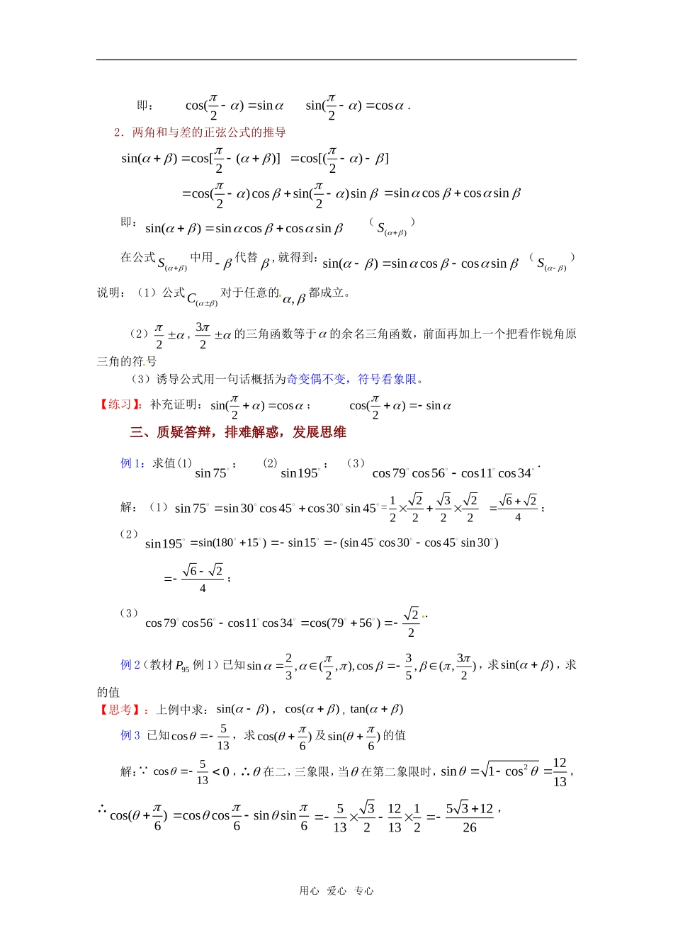
第2课时:§3.1.2两角和与差的正弦(一)【三维目标】:一、知识与技能1.能由两角和与差的余弦公式导出两角和与差的正弦公式,并从推导的过程中体会到化归思想的作用2.能用两角和与差的正弦公式进行简单的三角函数式的化简、求值和恒等变形,并能熟练进行公式正逆向运用。3.揭示知识背景,激发学生分析、探求的学习态度,强化学生的参与意识,引发学生学习兴趣;培养学生的推理能力,提高学生的数学素质.二、过程与方法通过创设情境:通过两角差的余弦函数导出两角和与差的正弦公式;讲解例题,总结方法,巩固练习.三、情感、态度与价值观通过本节的学习,使同学们对两角和与差的三角函数有了一个全新的认识;理解掌握两角和与差的三角的各种变形,提高逆用思维的能力.【教学重点与难点】:重点:()S公式的推导、应用.难点:()S公式的推导.【学法与教学用具】:1.学法:(1)自主性学习法:通过自学掌握两角差的余弦公式.(2)探究式学习法:通过分析、探索、掌握两角差的余弦公式的过程.(3)反馈练习法:以练习来检验知识的应用情况,找出未掌握的内容及其存在的差距.2.教学用具:多媒体、实物投影仪.【授课类型】:新授课【课时安排】:1课时【教学思路】:一、创设情景,揭示课题1.()C公式;2.化简:(1)cos3cossin3sin;(2)cos()cos()66;(3)cos15cos75.二、研探新知1.诱导公式(1)cos()coscossinsinsin222;(2)把公式(1)中2换成,则cossin()2.用心爱心专心即:cos()sin2sin()cos2.2.两角和与差的正弦公式的推导sin()cos[()]2cos[()]2cos()cossin()sin22sincoscossin即:sin()sincoscossin(()S)在公式()S中用代替,就得到:sin()sincoscossin(()S)说明:(1)公式()C对于任意的,都成立。(2)2,23的三角函数等于的余名三角函数,前面再加上一个把看作锐角原三角的符号(3)诱导公式用一句话概括为奇变偶不变,符号看象限。【练习】:补充证明:cos)2sin(;sin)2cos(三、质疑答辩,排难解惑,发展思维例1:求值(1)sin75;(2)sin195;(3)cos79cos56cos11cos34.解:(1)sin75sin30cos45cos30sin45=12322222624;(2)sin195sin(18015)sin15(sin45cos30cos45sin30)624;(3)cos79cos56cos11cos342cos(7956)2.例2(教材95P例1)已知)23,(,53cos),,2(,32sin,求)sin(,求的值【思考】:上例中求:)sin(,)cos(,)tan(例3已知5cos13,求)6cos(及)6sin(的值解:5cos130,∴在二,三象限,当在第二象限时,212sin1cos13,∴cos()6coscossinsin6653121132132531226,用心爱心专心sin()6sincoscossin66123526,当在第三象限时,212sin1cos13,∴cos()6coscossinsin6653121132132531226,sin()6sincoscossin66123526.例4(教材95P例2)已知)cos(,54cos,,均为锐角例5(教材96P例3)求函数xxycos23sin21的最大值四、巩固深化,反馈矫正1.求sin13cos17+cos13sin17值2.求证:cos+3sin=2sin(6+)3.已知sin(+)=32,sin()=52求tantan的值4.已知sin()=1,求证:sin(2)=sin五、归纳整理,整体认识由两角和的余弦公式推导出两角和的正弦公式,并进而推得两角和的正弦公式,并进行简单的三角函数式的化简、求值和恒等变形奎屯王新敞新疆注意:两角和与差的正弦、余弦公式及一些技巧“辅助角”“角变换”“逆向运用公式”六、承上启下,留下悬念七、板书设计(略)八、课后记:用心爱心专心

1、当您付费下载文档后,您只拥有了使用权限,并不意味着购买了版权,文档只能用于自身使用,不得用于其他商业用途(如 [转卖]进行直接盈利或[编辑后售卖]进行间接盈利)。
2、本站所有内容均由合作方或网友上传,本站不对文档的完整性、权威性及其观点立场正确性做任何保证或承诺!文档内容仅供研究参考,付费前请自行鉴别。
3、如文档内容存在违规,或者侵犯商业秘密、侵犯著作权等,请点击“违规举报”。

碎片内容

高中数学 3.1.2《两角和与差的正弦(一)》教案 苏教版必修4

您可能关注的文档

星河书苑+ 关注
实名认证
内容提供者

从事历史教学,热爱教育,高度负责。

确认删除?
VIP
微信客服
  • 扫码咨询
会员Q群
  • 会员专属群点击这里加入QQ群
客服邮箱
回到顶部