电脑桌面
添加小米粒文库到电脑桌面
安装后可以在桌面快捷访问

高分子物理第二章习题及解答VIP免费

高分子物理第二章习题及解答_第1页
1/21
高分子物理第二章习题及解答_第2页
2/21
高分子物理第二章习题及解答_第3页
3/21
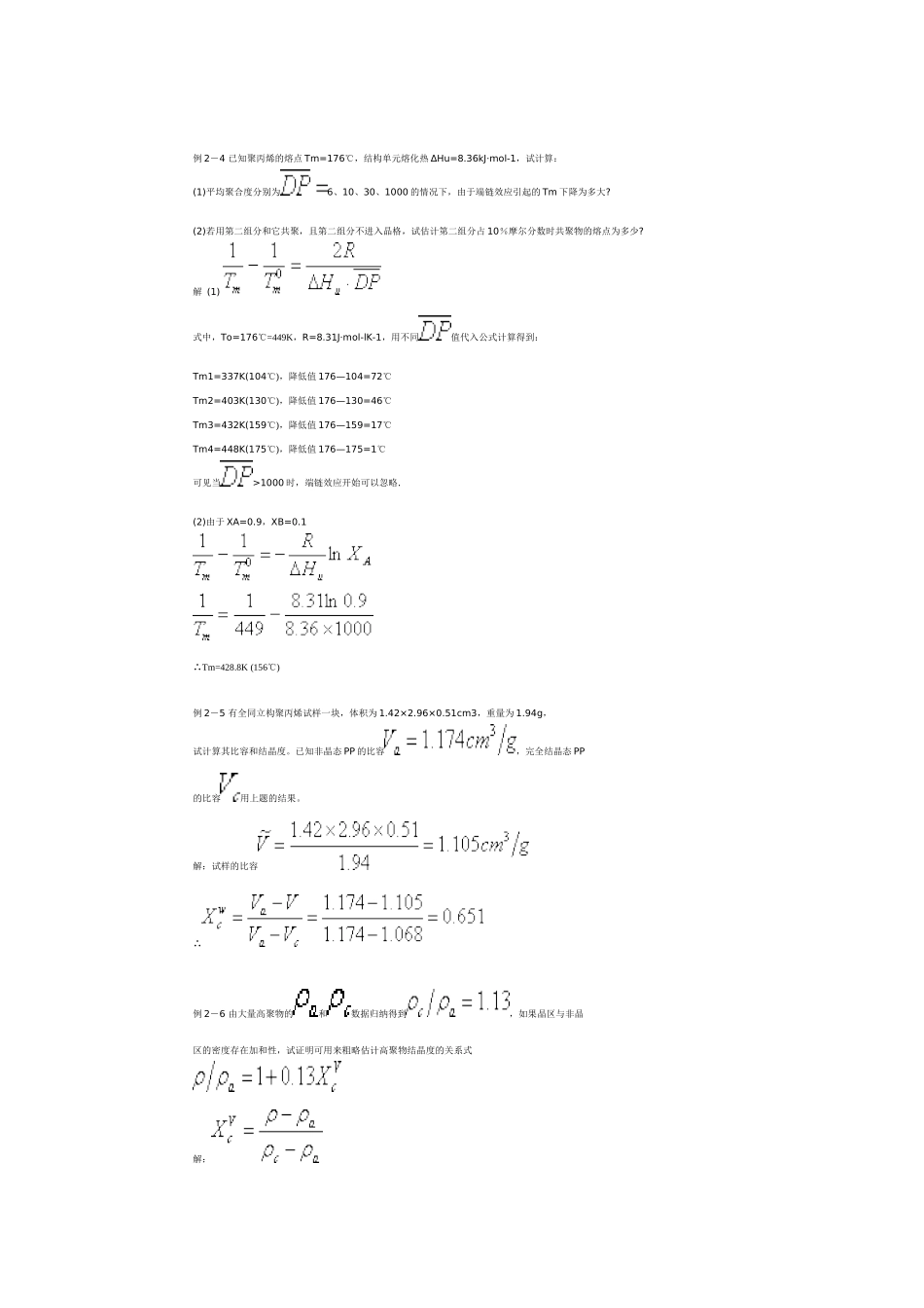
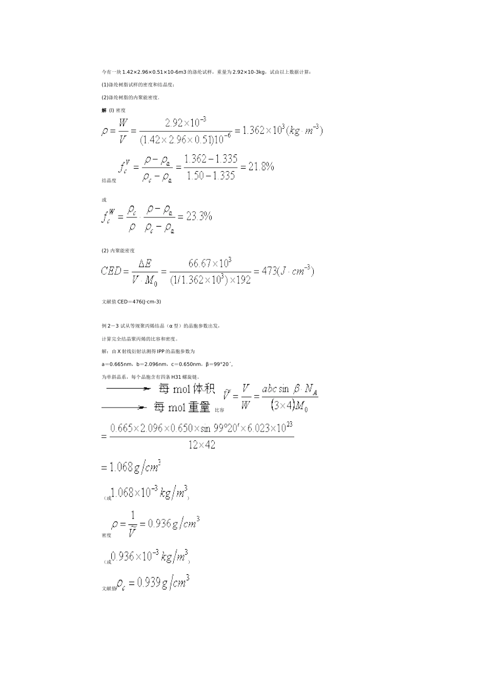
第二章2.1聚合物的晶态和非晶态结构2.1.1内聚能密度例2-1根据高聚物的分子结构和分子间作用能,定性地讨论表2-3中所列各高聚物的性能。表2-3线形高聚物的内聚能密度高聚物内聚能密度兆焦/米3卡/厘米3聚乙烯25962聚异丁烯27265天然橡胶28067聚丁二烯27666丁苯橡胶27666聚苯乙烯30573高聚物内聚能密度兆焦/米3卡/厘米3聚甲基丙烯酸甲酯34783聚醋酸乙烯酯36888聚氯乙烯38191聚对苯二甲酸乙二酯477114尼龙66774185聚丙烯腈992237解:(1)聚乙烯、聚异丁烯、天然橡胶、聚丁二烯和丁苯橡胶都有较好的柔顺性,它们适合于用作弹性体。其中聚乙烯由于结构高度对称性,太易于结晶,从而实际上只能用作塑料,但从纯C-C单键的结构来说本来应当有很好的柔顺性,理应是个橡胶。(2)聚苯乙烯、聚甲基丙烯酸甲酯、聚醋酸乙烯酯和聚氯乙烯的柔顺性适中,适合用作塑料。(3)聚对苯二甲酸乙二酯、尼龙66和聚丙烯腈的分子间作用力大,柔顺性较差,刚性和强度较大,宜作纤维。可见一般规律是内聚能密度<70卡/厘米3的为橡胶;内聚能密度70~100的为塑料;>100的为纤维。2.1.2比容、密度、结晶度例2-2由文献查得涤纶树脂的密度ρc=1.50×103kg·m-3,和ρa=1.335×103kg·m-3,内聚能ΔΕ=66.67kJ·mol-1(单元).今有一块1.42×2.96×0.51×10-6m3的涤纶试样,重量为2.92×10-3kg,试由以上数据计算:(1)涤纶树脂试样的密度和结晶度;(2)涤纶树脂的内聚能密度.解(l)密度结晶度或(2)内聚能密度文献值CED=476(J·cm-3)例2-3试从等规聚丙烯结晶(α型)的晶胞参数出发,计算完全结晶聚丙烯的比容和密度。解:由X射线衍射法测得IPP的晶胞参数为a=0.665nm,b=2.096nm,c=0.650nm,β=99°20ˊ,为单斜晶系,每个晶胞含有四条H31螺旋链。比容(或)密度(或)文献值例2-4已知聚丙烯的熔点Tm=176℃,结构单元熔化热ΔHu=8.36kJ·mol-1,试计算:(1)平均聚合度分别为6、10、30、1000的情况下,由于端链效应引起的Tm下降为多大?(2)若用第二组分和它共聚,且第二组分不进入晶格,试估计第二组分占10%摩尔分数时共聚物的熔点为多少?解(1)式中,To=176℃=449K,R=8.31J·mol-lK-1,用不同值代入公式计算得到:Tm1=337K(104℃),降低值176—104=72℃Tm2=403K(130℃),降低值176—130=46℃Tm3=432K(159℃),降低值176—159=17℃Tm4=448K(175℃),降低值176—175=1℃可见当>1000时,端链效应开始可以忽略.(2)由于XA=0.9,XB=0.1∴Tm=428.8K(156℃)例2-5有全同立构聚丙烯试样一块,体积为1.42×2.96×0.51cm3,重量为1.94g,试计算其比容和结晶度。已知非晶态PP的比容,完全结晶态PP的比容用上题的结果。解:试样的比容∴例2-6由大量高聚物的和数据归纳得到,如果晶区与非晶区的密度存在加和性,试证明可用来粗略估计高聚物结晶度的关系式解:∴例2-7试推导用密度法求结晶度的公式式中ρ为样品密度,ρc为结晶部分密度,ρa为非晶部分密度解:∴例2-8说明xv=,式中xv为结晶度(按体积分数计算),、、分别为样品、结晶和非晶的密度。解:Mc=Ms-Ma,式中Ms、Mc、Ma分别为样品、结晶和非晶的重量。从而Vc=Vs-Va,式中Vs、Vc、Va分别为样品、结晶和非晶的体积。上式两边同减去Vc,Vc-Vc=Vs-Va-Vc=Vs-(Va+Vc)=Vs-VsVc(-)=Vs(-)因为xv=Vc/Vs所以得证。例2-9.证明xm=xv,式中xm、xv分别为质量结晶度和体积结晶度。解:根据定义xv=Vc/(Va+Vc),xm=Mc/(Ma+Mc)所以有=·=于是xm=xv例2-10.证明xm=A(1-/),其中A取决于聚合物的种类,但与结晶度无关。如果某种聚合物的两个样品的密度为1346和1392Kgm-3,通过X光衍射测得xm为10%和50%,计算和,以及密度为1357Kgm-3的第三个样品的质量结晶度。解:xm=()=·()=A(1-)式中A=与样品的结晶度无关。上式两边乘以,xm=A(-)代入两个样品的密度和结晶度值,=得到=1335Kgm-3。将第二个样品的数据代入xm=A(-)得1/A=0.5×1392/(1392-1335)=12.21而1/A=1-/,于是===1454Kgm-3对于第三个样品,xm=A(1-)=12.21(1-1335/1357)=0.198(或19.8%)例2-11回答密度梯度管法测定聚合物结晶度实验中的以下几个问题:(1)如何选择...

1、当您付费下载文档后,您只拥有了使用权限,并不意味着购买了版权,文档只能用于自身使用,不得用于其他商业用途(如 [转卖]进行直接盈利或[编辑后售卖]进行间接盈利)。
2、本站所有内容均由合作方或网友上传,本站不对文档的完整性、权威性及其观点立场正确性做任何保证或承诺!文档内容仅供研究参考,付费前请自行鉴别。
3、如文档内容存在违规,或者侵犯商业秘密、侵犯著作权等,请点击“违规举报”。

碎片内容

高分子物理第二章习题及解答

您可能关注的文档

黄金阁书苑+ 关注
实名认证
内容提供者

热爱教学事业,对互联网知识分享很感兴趣

确认删除?
VIP
微信客服
  • 扫码咨询
会员Q群
  • 会员专属群点击这里加入QQ群
客服邮箱
回到顶部