电脑桌面
添加小米粒文库到电脑桌面
安装后可以在桌面快捷访问

【南方新课堂】2019年高考数学理科总复习作业及测试模拟试卷二含解析VIP免费

【南方新课堂】2019年高考数学理科总复习作业及测试模拟试卷二含解析_第1页
1/11
【南方新课堂】2019年高考数学理科总复习作业及测试模拟试卷二含解析_第2页
2/11
【南方新课堂】2019年高考数学理科总复习作业及测试模拟试卷二含解析_第3页
3/11
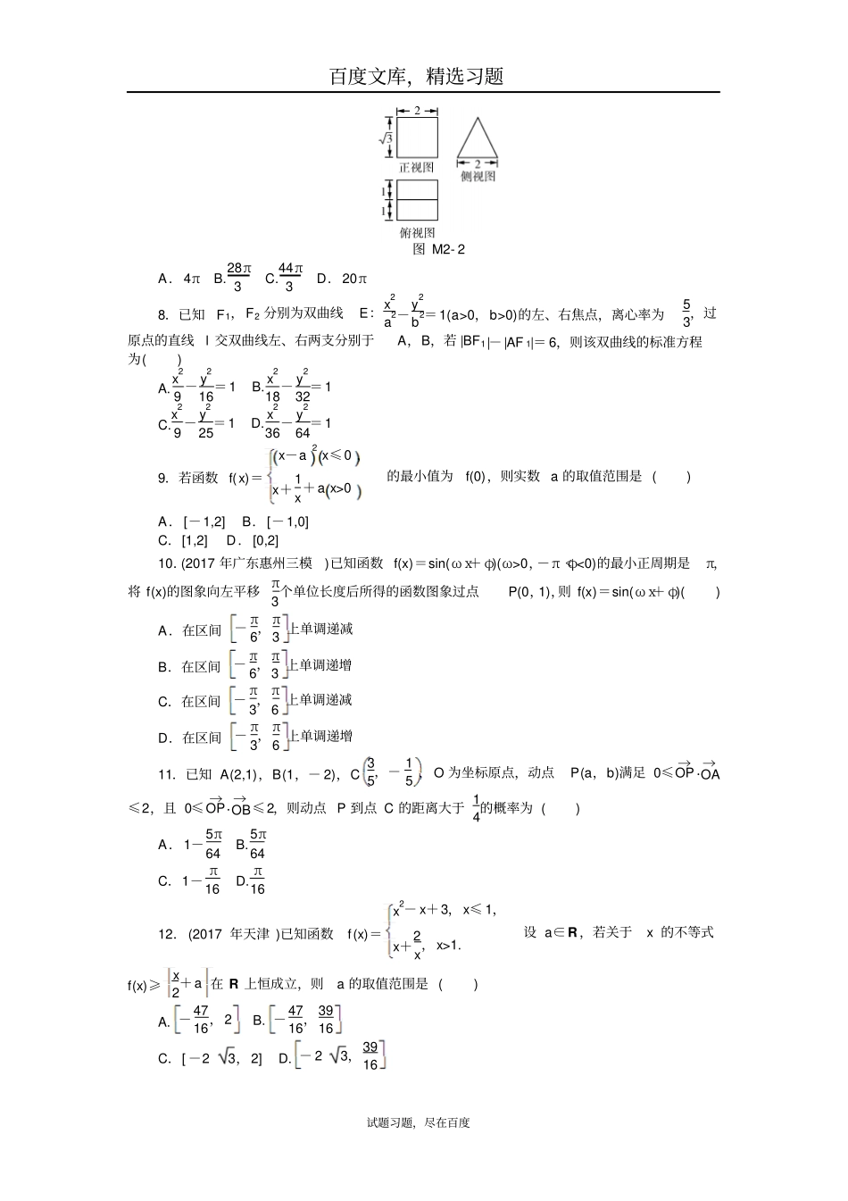
百度文库,精选习题试题习题,尽在百度2019年高考数学(理科)模拟试卷(二)(本试卷分第Ⅰ卷和第Ⅱ卷两部分.满分150分,考试时间120分钟)第Ⅰ卷(选择题满分60分)一、选择题:本大题共12小题,每小题5分,共60分.在每小题给出的四个选项中,只有一项是符合题目要求的.1.(2017年广东广州一模)若集合M={x||x|≤1},N={y|y=x2,|x|≤1},则()A.M=NB.M?NC.N?MD.M∩N=?2.“10”的()A.充分不必要条件B.必要不充分条件C.充要条件D.既不充分也不必要条件3.(2017年山东)已知a∈R,i是虚数单位,若z=a+3i,z·z=4,则a=()A.1或-1B.7或-7C.-3D.34.已知平面向量a=(1,2),b=(-2,k),若a与b共线,则||3a+b=()A.3B.4C.5D.55.函数y=12x2-lnx的单调递减区间为()A.(-1,1]B.(0,1]C.[1,+∞)D.(0,+∞)6.(2017年河南洛阳三模)利用如图M2-1所示的算法在平面直角坐标系上打印一系列点,则打印的点在圆x2+y2=25内的个数为()图M2-1A.2个B.3个C.4个D.5个7.(2017年广东惠州三模)某个几何体的三视图如图M2-2,若该几何体的所有顶点都在一个球面上,则该球面的表面积是()百度文库,精选习题试题习题,尽在百度图M2-2A.4πB.28π3C.44π3D.20π8.已知F1,F2分别为双曲线E:x2a2-y2b2=1(a>0,b>0)的左、右焦点,离心率为53,过原点的直线l交双曲线左、右两支分别于A,B,若|BF1|-|AF1|=6,则该双曲线的标准方程为()A.x29-y216=1B.x218-y232=1C.x29-y225=1D.x236-y264=19.若函数f(x)=x-a2x≤0,x+1x+ax>0的最小值为f(0),则实数a的取值范围是()A.[-1,2]B.[-1,0]C.[1,2]D.[0,2]10.(2017年广东惠州三模)已知函数f(x)=sin(ωx+φ)(ω>0,-π<φ<0)的最小正周期是π,将f(x)的图象向左平移π3个单位长度后所得的函数图象过点P(0,1),则f(x)=sin(ωx+φ)()A.在区间-π6,π3上单调递减B.在区间-π6,π3上单调递增C.在区间-π3,π6上单调递减D.在区间-π3,π6上单调递增11.已知A(2,1),B(1,-2),C35,-15,O为坐标原点,动点P(a,b)满足0≤OP→·OA→≤2,且0≤OP→·OB→≤2,则动点P到点C的距离大于14的概率为()A.1-5π64B.5π64C.1-π16D.π1612.(2017年天津)已知函数f(x)=x2-x+3,x≤1,x+2x,x>1.设a∈R,若关于x的不等式f(x)≥x2+a在R上恒成立,则a的取值范围是()A.-4716,2B.-4716,3916C.[-23,2]D.-23,3916百度文库,精选习题试题习题,尽在百度第Ⅱ卷(非选择题满分90分)本卷包括必考题和选考题两部分.第13~21题为必考题,每个试题考生必须作答.第22~23题为选考题,考生根据要求作答.二、填空题:本大题共4小题,每小题5分,共20分.13.已知椭圆Γ:x2a2+y2b2=1(a>b>0)的左、右焦点分别为F1,F2,焦距为2c,若直线y=3(x+c)与椭圆Γ的一个交点M满足∠MF1F2=2∠MF2F1,则该椭圆的离心率等于__________.14.(2017年山东)已知(1+3x)n的展开式中含有x2项的系数是54,则n=____________.15.已知正方体ABCD-A1B1C1D1中,E,F分别为BB1,CC1的中点,那么异面直线AE与D1F所成角的余弦值为________.16.(2017年广东惠州三模)已知在△ABC中,AC=2,BC=6,∠ACB=π6,若线段BA的延长线上存在点D,使∠BDC=π4,则CD=________.三、解答题:共70分.解答应写出文字说明,证明过程或演算步骤.17.(本小题满分12分)(2017年广东惠州三模)已知等差数列{an}满足(a1+a2)+(a2+a3)+⋯+(an+an+1)=2n(n+1)(n∈N*).(1)求数列{an}的通项公式;(2)求数列an2n-1的前n项和Sn.18.(本小题满分12分)(2017年天津)从甲地到乙地要经过3个十字路口,设各路口信号灯工作相互独立,且在各路口遇到红灯的概率分别为12,13,14.(1)设X表示一辆车从甲地到乙地遇到红灯的个数,求随机变量X的分布列和数学期望;(2)若有2辆车独立地从甲地到乙地,求这2辆车共遇到1个红灯的概率.19.(本小题满分12分)(2017年广东湛江二模)如图M2-3,在直三棱柱ABC-A1B1C1中,二面角A-A1B-C是直二面角,AB=BC=2,点M是棱CC1的中点,三棱锥M-BCA1的体积为1.(1)证明:BC⊥平面ABA1;(2)求直...

1、当您付费下载文档后,您只拥有了使用权限,并不意味着购买了版权,文档只能用于自身使用,不得用于其他商业用途(如 [转卖]进行直接盈利或[编辑后售卖]进行间接盈利)。
2、本站所有内容均由合作方或网友上传,本站不对文档的完整性、权威性及其观点立场正确性做任何保证或承诺!文档内容仅供研究参考,付费前请自行鉴别。
3、如文档内容存在违规,或者侵犯商业秘密、侵犯著作权等,请点击“违规举报”。

碎片内容

【南方新课堂】2019年高考数学理科总复习作业及测试模拟试卷二含解析

确认删除?
VIP
微信客服
  • 扫码咨询
会员Q群
  • 会员专属群点击这里加入QQ群
客服邮箱
回到顶部