电脑桌面
添加小米粒文库到电脑桌面
安装后可以在桌面快捷访问

【四川版】2019年中考数学总复习模拟专题三数与式的运算试题VIP专享VIP免费

【四川版】2019年中考数学总复习模拟专题三数与式的运算试题_第1页
1/4
【四川版】2019年中考数学总复习模拟专题三数与式的运算试题_第2页
2/4
【四川版】2019年中考数学总复习模拟专题三数与式的运算试题_第3页
3/4
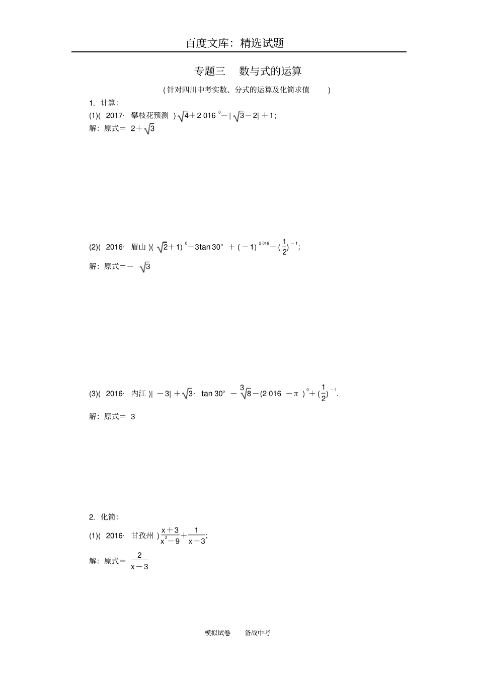
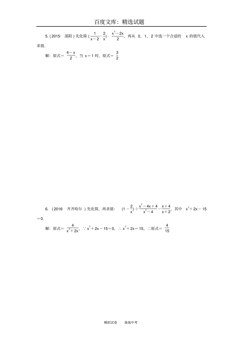
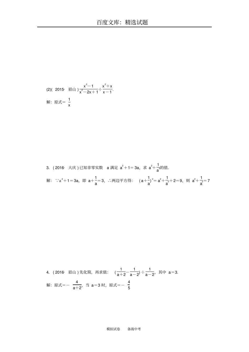
百度文库:精选试题模拟试卷备战中考专题三数与式的运算(针对四川中考实数、分式的运算及化简求值)1.计算:(1)(2017·攀枝花预测)4+20160-|3-2|+1;解:原式=2+3(2)(2016·眉山)(2+1)0-3tan30°+(-1)2016-(12)-1;解:原式=-3(3)(2016·内江)|-3|+3·tan30°-38-(2016-π)0+(12)-1.解:原式=32.化简:(1)(2016·甘孜州)x+3x2-9+1x-3;解:原式=2x-3百度文库:精选试题模拟试卷备战中考(2)(2015·眉山)x2-1x2-2x+1÷x2+xx-1.解:原式=1x3.(2016·大庆)已知非零实数a满足a2+1=3a,求a2+1a2的值.解:∵a2+1=3a,即a+1a=3,∴两边平方得:(a+1a)2=a2+1a2+2=9,则a2+1a2=74.(2016·眉山)先化简,再求值:(1a+2-1a-2)÷1a-2,其中a=3.解:原式=-4a+2,当a=3时,原式=-45百度文库:精选试题模拟试卷备战中考5.(2015·邵阳)先化简(1x-2-2x)·x2-2x2,再从0,1,2中选一个合适的x的值代入求值.解:原式=4-x2,当x=1时,原式=326.(2016·齐齐哈尔)先化简,再求值:(1-2x)÷x2-4x+4x2-4-x+4x+2,其中x2+2x-15=0.解:原式=4x2+2x,∵x2+2x-15=0,∴x2+2x=15,∴原式=415百度文库:精选试题模拟试卷备战中考7.(2017·眉山预测)先化简,再求值:(xx2+x-1)÷x2-1x2+2x+1,其中x的值从不等式组-x≤1,2x-1<4的整数解中选取.解:原式=x1-x,解不等式组-x≤1,2x-1<4得-1≤x<52,当x=2时,原式=21-2=-28.(2016·锦州)先化简,再求值:xx2-1÷(1+1x-1),其中x=1232-312-(π-3)0.解:原式=1x+1.x=22-1.把x=22-1代入1x+1得1x+1=122-1+1=2.即原式=2

1、当您付费下载文档后,您只拥有了使用权限,并不意味着购买了版权,文档只能用于自身使用,不得用于其他商业用途(如 [转卖]进行直接盈利或[编辑后售卖]进行间接盈利)。
2、本站所有内容均由合作方或网友上传,本站不对文档的完整性、权威性及其观点立场正确性做任何保证或承诺!文档内容仅供研究参考,付费前请自行鉴别。
3、如文档内容存在违规,或者侵犯商业秘密、侵犯著作权等,请点击“违规举报”。

碎片内容

【四川版】2019年中考数学总复习模拟专题三数与式的运算试题

确认删除?
VIP
微信客服
  • 扫码咨询
会员Q群
  • 会员专属群点击这里加入QQ群
客服邮箱
回到顶部