电脑桌面
添加小米粒文库到电脑桌面
安装后可以在桌面快捷访问

高三数学第一轮复习 第9课时-函数的值域教案VIP免费

高三数学第一轮复习 第9课时-函数的值域教案_第1页
1/4
高三数学第一轮复习 第9课时-函数的值域教案_第2页
2/4
高三数学第一轮复习 第9课时-函数的值域教案_第3页
3/4
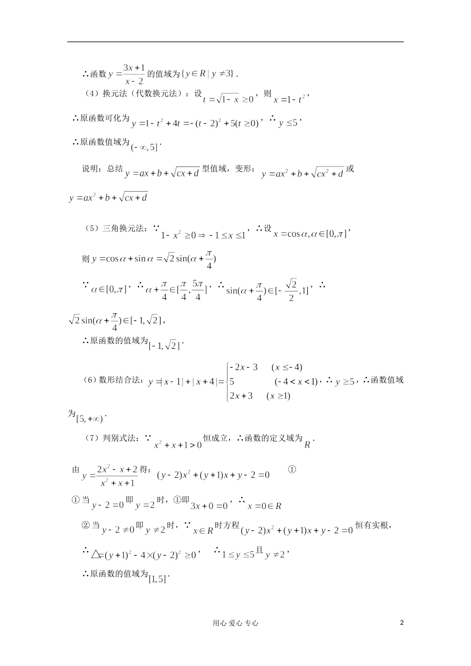
一.课题:函数的值域二.教学目标:理解函数值域的意义;掌握常见题型求值域的方法,了解函数值域的一些应用.三.教学重点:求函数的值域.四.教学过程:(一)主要知识:1.函数的值域的定义;2.确定函数的值域的原则;3.求函数的值域的方法.(二)主要方法(范例分析以后由学生归纳):求函数的值域的方法常用的有:直接法,配方法,判别式法,基本不等式法,逆求法(反函数法),换元法,图像法,利用函数的单调性、奇偶性求函数的值域等.(三)例题分析:例1.求下列函数的值域:(1);(2);(3);(4);(5);(6);(7);(8);(9).解:(1)(一)公式法(略)(二)(配方法),∴的值域为.改题:求函数,的值域.解:(利用函数的单调性)函数在上单调增,∴当时,原函数有最小值为;当时,原函数有最大值为.∴函数,的值域为.(2)求复合函数的值域:设(),则原函数可化为.又∵,∴,故,∴的值域为.(3)(法一)反函数法:的反函数为,其定义域为,∴原函数的值域为.(法二)分离变量法:,∵,∴,用心爱心专心1∴函数的值域为.(4)换元法(代数换元法):设,则,∴原函数可化为,∴,∴原函数值域为.说明:总结型值域,变形:或(5)三角换元法:∵,∴设,则∵,∴,∴,∴,∴原函数的值域为.(6)数形结合法:,∴,∴函数值域为.(7)判别式法:∵恒成立,∴函数的定义域为.由得:①①当即时,①即,∴②当即时,∵时方程恒有实根,∴,∴且,∴原函数的值域为.用心爱心专心2(8),∵,∴,∴,当且仅当时,即时等号成立.∴,∴原函数的值域为.(9)(法一)方程法:原函数可化为:,∴(其中),∴,∴,∴,∴,∴原函数的值域为.(法二)数形结合法:可看作求点与圆上的点的连线的斜率的范围,解略.例2.若关于的方程有实数根,求实数的取值范围.解:原方程可化为,令,则,,又∵在区间上是减函数,∴,即,故实数的取值范围为:.例3.(《高考计划》考点9,智能训练16)某化妆品生产企业为了占有更多的市场份额,拟在2003年度进行一系列的促销活动.经过市场调查和测算,化妆品的年销量万件与年促销费用万元之间满足:与成反比例;如果不搞促销活动,化妆品的年销量只能是1万件.用心爱心专心3已知2003年,生产化妆品的固定投入为3万元,每生产1万件化妆品需再投入32万元.当将每件化妆品的售价定为“年平均每件成本的150%”与“年平均每件所占促销费的一半”之和,则当年产销量相等.(1)将2003年的年利润万元表示为年促销费万元的函数;(2)该企业2003年的促销费投入多少万元时,企业的年利润最大?(注:利润=收入-生产成本-促销费)解:(1)由题设知:,且时,,∴,即,∴年生产成本为万元,年收入为.∴年利润,∴.(2)由(1)得,当且仅当,即时,有最大值.∴当促销费定为万元时,年该化妆品企业获得最大利润.(四)巩固练习:1.函数的值域为.2.若函数在上的最大值与最小值之差为2,则.五.课后作业:《高考计划》考点1,智能训练3,4,9,12,13,14.用心爱心专心4

1、当您付费下载文档后,您只拥有了使用权限,并不意味着购买了版权,文档只能用于自身使用,不得用于其他商业用途(如 [转卖]进行直接盈利或[编辑后售卖]进行间接盈利)。
2、本站所有内容均由合作方或网友上传,本站不对文档的完整性、权威性及其观点立场正确性做任何保证或承诺!文档内容仅供研究参考,付费前请自行鉴别。
3、如文档内容存在违规,或者侵犯商业秘密、侵犯著作权等,请点击“违规举报”。

碎片内容

高三数学第一轮复习 第9课时-函数的值域教案

您可能关注的文档

雨丝书吧+ 关注
实名认证
内容提供者

乐于和他人分享知识,从事历史教学,热爱教育,高度负责。

相关文档

确认删除?
VIP
微信客服
  • 扫码咨询
会员Q群
  • 会员专属群点击这里加入QQ群
客服邮箱
回到顶部