电脑桌面
添加小米粒文库到电脑桌面
安装后可以在桌面快捷访问

数列复习(一)通项公式VIP免费

数列复习(一)通项公式_第1页
1/4
数列复习(一)通项公式_第2页
2/4
数列复习(一)通项公式_第3页
3/4
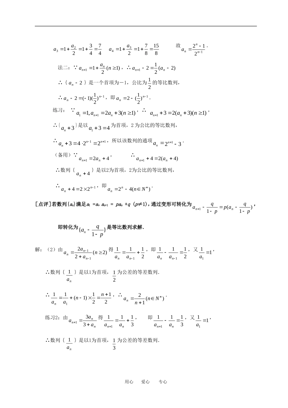
课题:数列复习(一)通项公式教学目标(一)知识与技能目标数列通项公式的求法.(二)过程与能力目标1.熟练掌握本章的知识网络结构及相互关系.2.掌握数列通项公式的求法.教学重点:掌握数列通项公式的求法.教学难点:根据数列的递推关系求通项.教学过程一、基本概念数列的通项公式:如果数列{an}的第n项an与n之间的关系可以用一个公式来表示,这个公式就叫做这个数列的通项公式.二、数列的通项公式的求法题型一:已知数列的前几项,求数列的通项公式.例1根据数列的前几项,写出下列个数列的一个通项公式:(1);,72,114,21,54(2)0.9,0.99,0.999,0.9999,…;(3)1,0,1,0,1,0,….【解】(1)注意到前四项中有两项分子均为4,不妨把分子都统一为4,即54,84,114,144,…观察符号是正负交替出现,因而有234)1(nann.(2)将数列中的项和1比较,就会发现,1a=0.9=1-1012a=0.99=1-1001=1-21013a=0.999=1-10001=1-3101,因此就有nna1011.(3)数列中的奇数项为1,偶数项为0,注意1)1(1n的值为2和0,因此有1)1(121nna.题型二:已知递推公式,求特殊数列的通项公式.例2写出下面各数列一个通项公式.(1));1(21,111naaann练习1:111,23(1)nnaaan;(2)11a,)2(2211naaannn;练习2:11a,)1(331naaannn;(3)11a,)2(21nnaann练习3:*12211,3,32().nnnaaaaanN(4)11a,)1(11nannann;练习4:11a,)1(21naannn【解】(1)法一: 11a,)1(211naann∴232112112aa,用心爱心专心474312123aa8158712134aa故1212nnna.法二: )1(211naann,∴)2(2121nnaa∴{2na}是一个首项为-1,公比为21的等比数列,∴1)21)(1(2nna,即1)21(2nna.练习: 111,23(1)nnaaan,∴132(3)(1)nnaan,∴{3na}是以134a为首项,2为公比的等比数列,∴113422nnna,所以该数列的通项na123n.(备用) 421nnaa,∴)4(241nnaa∴数列{4na}是以2为首项,2为公比的等比数列,∴1224nna,即)(42Nnann.[点评]若数列{an}满足a1=a,an+1=pan+q(p≠1),通过变形可转化为)1(11pqappqann,即转化为}1{pqan是等比数列求解.解:(2)由)2(2211naaannn得21111nnaa,即21111nnaa,又111a,∴数列{na1}是以1为首项,21为公差的等差数列.∴2121)1(111nnaan,∴)(12Nnnan.练习2:由nnnaaa331得31111nnaa,即31111nnaa,又111a,∴数列{na1}是以1为首项,31为公差的等差数列.用心爱心专心∴3231)1(111nnaan,∴)(23Nnnan.[点评]若数列{na}满足aa1,)0,(1cbcbacaannn,通过取倒可转化为cbaann111,即转化为{na1}是等差数列求解.(3) 11a,)2(21nnaann∴2212aa3223aa4234aa……naann21将上述(n-1)个式子相加,得)432(21naan即2)1)(2(21nnaan,)(12Nnnnan.练习3:2132,nnnaaa21112*2112(),1,3,2().nnnnnnnnaaaaaaaanNaa1nnaa是以21aa2为首项,2为公比的等比数列.∴*12(),nnnaanN112211()()...()nnnnnaaaaaaaa12*22...2121().nnnnN[点评]若数列{na}满足aa1,)(1}为可以求和的数列数列{nnnnbbaa,则用累加法求解,即)()()(123121nnnaaaaaaaa.(4) 11a,)1(11nannann,∴11nnaann,∴2112aa,3223aa,4334aa,…,nnaann11,将上述(n-1)个式子相乘,得naan11,即)(1Nnnan.用心爱心专心练习4: nnnaa21,∴nnnaa21∴212aa,2232aa,3342aa,…,112nnnaa,将上述(n-1)个...

1、当您付费下载文档后,您只拥有了使用权限,并不意味着购买了版权,文档只能用于自身使用,不得用于其他商业用途(如 [转卖]进行直接盈利或[编辑后售卖]进行间接盈利)。
2、本站所有内容均由合作方或网友上传,本站不对文档的完整性、权威性及其观点立场正确性做任何保证或承诺!文档内容仅供研究参考,付费前请自行鉴别。
3、如文档内容存在违规,或者侵犯商业秘密、侵犯著作权等,请点击“违规举报”。

碎片内容

数列复习(一)通项公式

您可能关注的文档

星河书苑+ 关注
实名认证
内容提供者

从事历史教学,热爱教育,高度负责。

相关文档

确认删除?
VIP
微信客服
  • 扫码咨询
会员Q群
  • 会员专属群点击这里加入QQ群
客服邮箱
回到顶部