电脑桌面
添加小米粒文库到电脑桌面
安装后可以在桌面快捷访问

泰兴市蒋华中学高二数学坐标系与参数方程VIP免费

泰兴市蒋华中学高二数学坐标系与参数方程_第1页
1/4
泰兴市蒋华中学高二数学坐标系与参数方程_第2页
2/4
泰兴市蒋华中学高二数学坐标系与参数方程_第3页
3/4
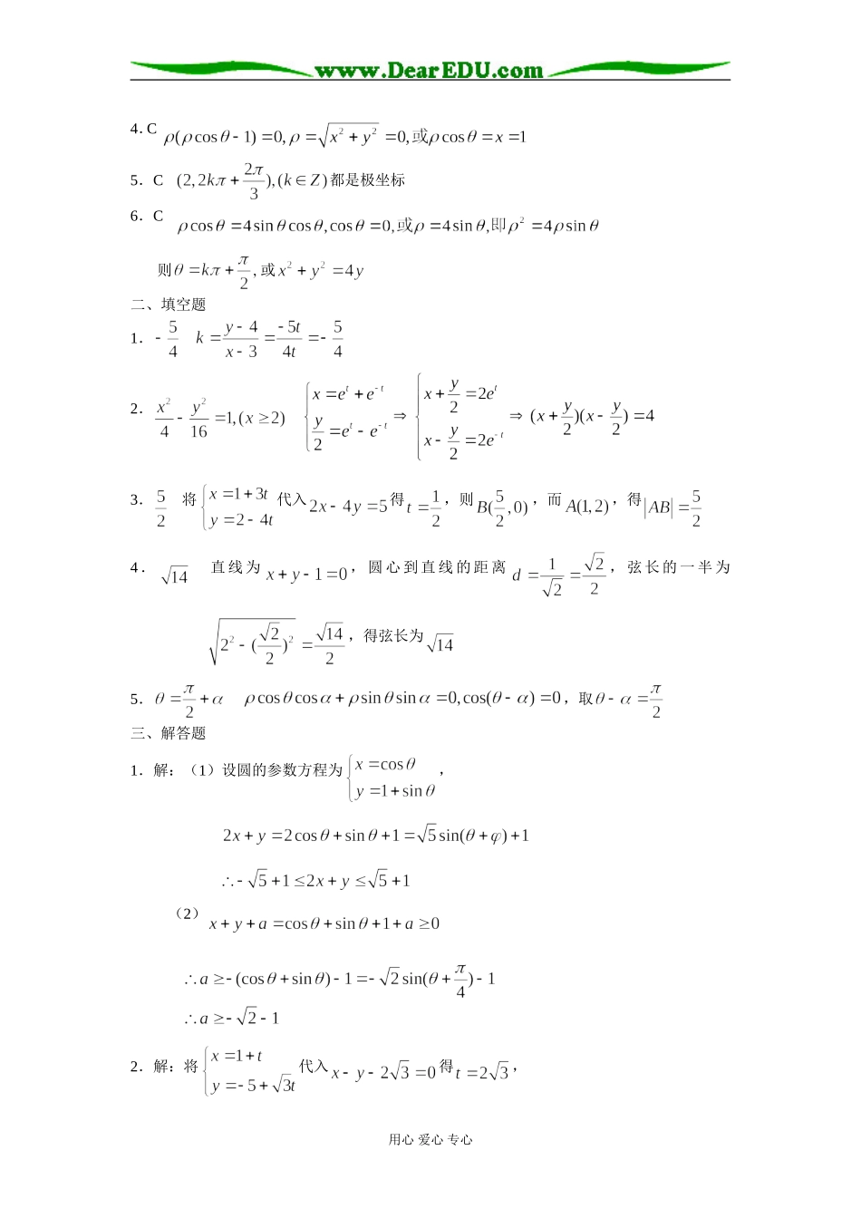
选修4-4坐标系与参数方程[基础训练A组]及答案一、选择题1.若直线的参数方程为,则直线的斜率为()A.B.C.D.2.下列在曲线上的点是()A.B.C.D.3.将参数方程化为普通方程为()A.B.C.D.4.化极坐标方程为直角坐标方程为()A.B.C.D.5.点的直角坐标是,则点的极坐标为()A.B.C.D.6.极坐标方程表示的曲线为()A.一条射线和一个圆B.两条直线C.一条直线和一个圆D.一个圆二、填空题1.直线的斜率为______________________。2.参数方程的普通方程为__________________。3.已知直线与直线相交于点,又点,用心爱心专心则_______________。4.直线被圆截得的弦长为______________。5.直线的极坐标方程为____________________。三、解答题1.已知点是圆上的动点,(1)求的取值范围;(2)若恒成立,求实数的取值范围。2.求直线和直线的交点的坐标,及点与的距离。3.在椭圆上找一点,使这一点到直线的距离的最小值。数学选修4-4坐标系与参数方程[基础训练A组]一、选择题1.D2.B转化为普通方程:,当时,3.C转化为普通方程:,但是用心爱心专心4.C5.C都是极坐标6.C则或二、填空题1.2.3.将代入得,则,而,得4.直线为,圆心到直线的距离,弦长的一半为,得弦长为5.,取三、解答题1.解:(1)设圆的参数方程为,(2)2.解:将代入得,用心爱心专心得,而,得3.解:设椭圆的参数方程为,当时,,此时所求点为。用心爱心专心

1、当您付费下载文档后,您只拥有了使用权限,并不意味着购买了版权,文档只能用于自身使用,不得用于其他商业用途(如 [转卖]进行直接盈利或[编辑后售卖]进行间接盈利)。
2、本站所有内容均由合作方或网友上传,本站不对文档的完整性、权威性及其观点立场正确性做任何保证或承诺!文档内容仅供研究参考,付费前请自行鉴别。
3、如文档内容存在违规,或者侵犯商业秘密、侵犯著作权等,请点击“违规举报”。

碎片内容

泰兴市蒋华中学高二数学坐标系与参数方程

您可能关注的文档

星河书苑+ 关注
实名认证
内容提供者

从事历史教学,热爱教育,高度负责。

确认删除?
VIP
微信客服
  • 扫码咨询
会员Q群
  • 会员专属群点击这里加入QQ群
客服邮箱
回到顶部