电脑桌面
添加小米粒文库到电脑桌面
安装后可以在桌面快捷访问

新人教版(B)高中数学必修4任意角的三角函数教案VIP免费

新人教版(B)高中数学必修4任意角的三角函数教案_第1页
1/3
新人教版(B)高中数学必修4任意角的三角函数教案_第2页
2/3
新人教版(B)高中数学必修4任意角的三角函数教案_第3页
3/3
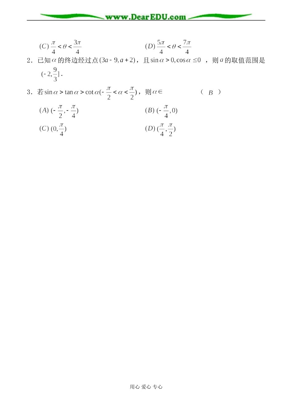
任意角的三角函数一、课题:任意角的三角函数二、教学目标:1.掌握角的概念的推广、正角、负角、象限角,终边相同的角的表示,2.掌握弧度制、弧度与角度的转化关系,扇形面积及弧长公式.三、教学重点:与角终边相同的角的公式、弧长公式、扇形面积公式的运用.四、教学过程:(一)主要知识:1.角的概念的推广;象限角、轴线角;与角终边相同的角为;2.角的度量;角度制、弧度制及其换算关系;弧长公式、扇形面积公式;3.任意角的三角函数.(二)主要方法:1.本节内容大多以选择、填空题形式出现,要重视一些特殊的解题方法,如数形结合法、代入检验法、特殊值法、待定系数法、排除法、另外还需掌握和运用一些基本结论.(三)例题分析:例1.若,且,则()例2.(1)如果是第一象限的角,那么是第几象限的角?(2)如果是第二象限的角,判断的符号.解:(1)∵,∴,当时,,是第一象限的角,当时,,是第二象限的角,当时,,是第三象限的角.用心爱心专心∴是第一,二,三象限的角.(2)是第二象限的角,,,,,∴.例3.(《高考计划》考点24“智能训练第6题”)已知锐角终边上的一点坐标是,则()例4.扇形的中心角为,半径为,在扇形中作内切圆及与圆外切,与相切的圆,问为何值时,圆的面积最大?最大值是多少?解:设圆及与圆的半径分别为,则,得,∴,∵,∴,令,,当,即时,圆的半径最大,圆的面积最大,最大面积为.(四)巩固练习:1.设,如果且,则的取值范围是()用心爱心专心2.已知的终边经过点,且,则的取值范围是.3.若,则()用心爱心专心

1、当您付费下载文档后,您只拥有了使用权限,并不意味着购买了版权,文档只能用于自身使用,不得用于其他商业用途(如 [转卖]进行直接盈利或[编辑后售卖]进行间接盈利)。
2、本站所有内容均由合作方或网友上传,本站不对文档的完整性、权威性及其观点立场正确性做任何保证或承诺!文档内容仅供研究参考,付费前请自行鉴别。
3、如文档内容存在违规,或者侵犯商业秘密、侵犯著作权等,请点击“违规举报”。

碎片内容

新人教版(B)高中数学必修4任意角的三角函数教案

您可能关注的文档

星河书苑+ 关注
实名认证
内容提供者

从事历史教学,热爱教育,高度负责。

确认删除?
VIP
微信客服
  • 扫码咨询
会员Q群
  • 会员专属群点击这里加入QQ群
客服邮箱
回到顶部