电脑桌面
添加小米粒文库到电脑桌面
安装后可以在桌面快捷访问

吉林省吉林市第一中学校高中数学 第三章第2节《两角和与差的余弦1》教案 新人教A版必修4VIP免费

吉林省吉林市第一中学校高中数学 第三章第2节《两角和与差的余弦1》教案 新人教A版必修4_第1页
1/3
吉林省吉林市第一中学校高中数学 第三章第2节《两角和与差的余弦1》教案 新人教A版必修4_第2页
2/3
吉林省吉林市第一中学校高中数学 第三章第2节《两角和与差的余弦1》教案 新人教A版必修4_第3页
3/3
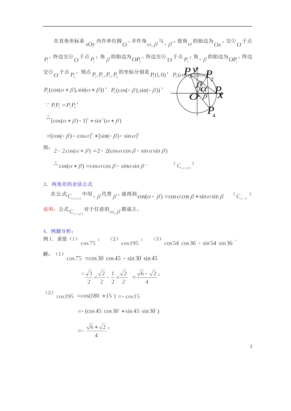
yx1P1M2NQ2P1N2MO吉林省吉林市第一中学校高一数学必修四第三章第2节《两角和与差的余弦1》教案新人教A版(一)复习:1.数轴两点间的距离公式:.2.点是终边与单位圆的交点,则.(二)新课讲解:1.两点间的距离公式及其推导设是坐标平面内的任意两点,从点分别作轴的垂线,与轴交于点;再从点分别作轴的垂线,与轴交于点.直线与相交于点,那么,.由勾股定理,可得∴.2.两角和的余弦公式的推导1在直角坐标系内作单位圆,并作角与,使角的始边为,交⊙于点,终边交⊙于点;角的始边为,终边交⊙于点;角的始边为,终边交⊙于点,则点的坐标分别是,,,,,∴得:∴.()3.两角差的余弦公式在公式中用代替,就得到()说明:公式对于任意的都成立。4.例题分析:例1.求值(1);(2);(3).解:(1)=;(2);24Px1POy2P3P(3).六.课堂练习:2(3)(4).七.小结:掌握公式的推导,能熟练运用公式,注意公式的逆用。八.作业:习题4.6第三题(3)(4)(6)(8),数学之友:第六十七课时组1,2,3,4.3

1、当您付费下载文档后,您只拥有了使用权限,并不意味着购买了版权,文档只能用于自身使用,不得用于其他商业用途(如 [转卖]进行直接盈利或[编辑后售卖]进行间接盈利)。
2、本站所有内容均由合作方或网友上传,本站不对文档的完整性、权威性及其观点立场正确性做任何保证或承诺!文档内容仅供研究参考,付费前请自行鉴别。
3、如文档内容存在违规,或者侵犯商业秘密、侵犯著作权等,请点击“违规举报”。

碎片内容

吉林省吉林市第一中学校高中数学 第三章第2节《两角和与差的余弦1》教案 新人教A版必修4

您可能关注的文档

确认删除?
VIP
微信客服
  • 扫码咨询
会员Q群
  • 会员专属群点击这里加入QQ群
客服邮箱
回到顶部