电脑桌面
添加小米粒文库到电脑桌面
安装后可以在桌面快捷访问

人教A版2019年高中数学选修2:模块综合检测_含解析VIP免费

人教A版2019年高中数学选修2:模块综合检测_含解析_第1页
1/9
人教A版2019年高中数学选修2:模块综合检测_含解析_第2页
2/9
人教A版2019年高中数学选修2:模块综合检测_含解析_第3页
3/9
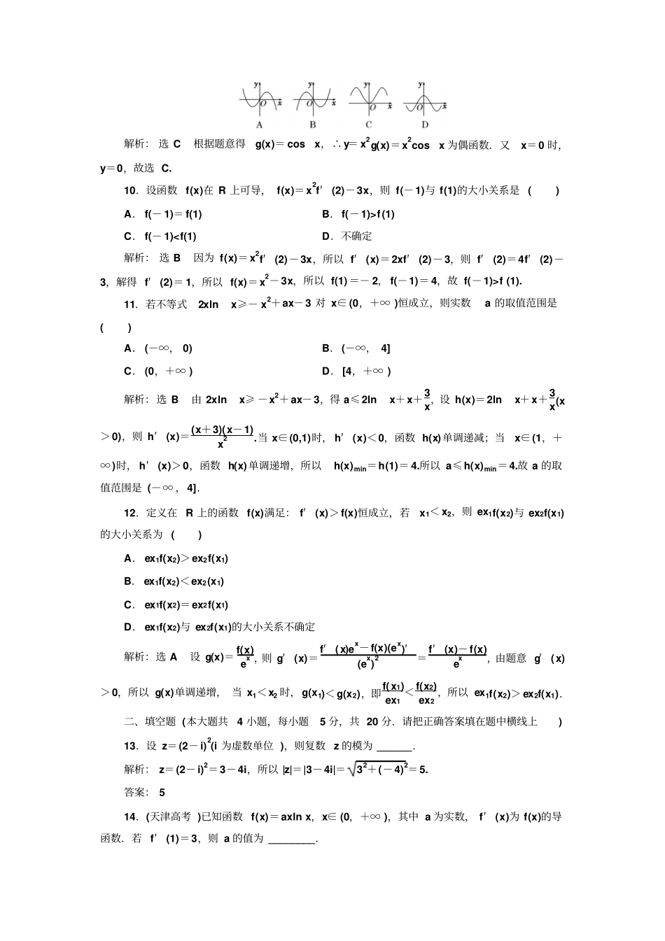
模块综合检测(时间120分钟满分150分)一、选择题(本大题共12小题,每小题5分,共60分.在每小题给出的四个选项中,只有一项是符合题目要求的)1.已知复数z1=2+i,z2=1+i,则z1z2在复平面内对应的点位于()A.第一象限B.第三象限C.第二象限D.第四象限解析:选Dz1z2=2+i1+i=32-i2,对应点32,-12在第四象限.2.下面几种推理中是演绎推理的为()A.由金、银、铜、铁可导电,猜想:金属都可导电B.猜想数列11×2,12×3,13×4,⋯的通项公式为an=1n(n+1)(n∈N+)C.半径为r的圆的面积S=πr2,则单位圆的面积S=πD.由平面直角坐标系中圆的方程为(x-a)2+(y-b)2=r2,推测空间直角坐标系中球的方程为(x-a)2+(y-b)2+(z-c)2=r2解析:选C由演绎推理的概念可知C正确.3.函数y=(sinx2)3的导数是()A.y′=3xsinx2·sin2x2B.y′=3(sinx2)2C.y′=3(sinx2)2cosx2D.y′=6sinx2cosx2解析:选Ay′=[(sinx2)3]′=3(sinx2)2·(sinx2)′=3(sinx2)2·cosx2·2x=3×2sinx2·cosx2·x·sinx2=3x·sinx2·sin2x2,故选A.4.设f(x)=xlnx,若f′(x0)=2,则x0的值为()A.e2B.eC.ln22D.ln2解析:选B由f(x)=xlnx,得f′(x)=lnx+1.根据题意知lnx0+1=2,所以lnx0=1,因此x0=e.6.观察下列等式,13+23=32,13+23+33=62,13+23+33+43=102,根据上述规律,13+23+33+43+53+63=()A.192B.202C.212D.222解析:选C归纳得13+23+33+43+53+63=()1+2+⋯+62=212.8.函数f(x)=ax3+bx2+cx+d的图象如图,则函数y=ax2+32bx+c3的单调递增区间是()A.(-∞,-2]B.12,+∞C.[-2,3]D.98,+∞解析:选D由题图可知d=0.不妨取a=1, f(x)=x3+bx2+cx,∴f′(x)=3x2+2bx+c.由图可知f′(-2)=0,f′(3)=0,∴12-4b+c=0,27+6b+c=0,∴b=-32,c=-18.∴y=x2-94x-6,y′=2x-94.当x>98时,y′>0,∴y=x2-94x-6的单调递增区间为98,+∞.故选D.9.设曲线y=sinx上任一点(x,y)处切线的斜率为g(x),则函数y=x2g(x)的部分图象可以为()解析:选C根据题意得g(x)=cosx,∴y=x2g(x)=x2cosx为偶函数.又x=0时,y=0,故选C.10.设函数f(x)在R上可导,f(x)=x2f′(2)-3x,则f(-1)与f(1)的大小关系是()A.f(-1)=f(1)B.f(-1)>f(1)C.f(-1)f(1).11.若不等式2xlnx≥-x2+ax-3对x∈(0,+∞)恒成立,则实数a的取值范围是()A.(-∞,0)B.(-∞,4]C.(0,+∞)D.[4,+∞)解析:选B由2xlnx≥-x2+ax-3,得a≤2lnx+x+3x,设h(x)=2lnx+x+3x(x>0),则h′(x)=(x+3)(x-1)x2.当x∈(0,1)时,h′(x)<0,函数h(x)单调递减;当x∈(1,+∞)时,h′(x)>0,函数h(x)单调递增,所以h(x)min=h(1)=4.所以a≤h(x)min=4.故a的取值范围是(-∞,4].12.定义在R上的函数f(x)满足:f′(x)>f(x)恒成立,若x1<x2,则ex1f(x2)与ex2f(x1)的大小关系为()A.ex1f(x2)>ex2f(x1)B.ex1f(x2)<ex2(x1)C.ex1f(x2)=ex2f(x1)D.ex1f(x2)与ex2f(x1)的大小关系不确定解析:选A设g(x)=f(x)ex,则g′(x)=f′(x)ex-f(x)(ex)′(ex)2=f′(x)-f(x)ex,由题意g′(x)>0,所以g(x)单调递增,当x1<x2时,g(x1)<g(x2),即f(x1)ex1<f(x2)ex2,所以ex1f(x2)>ex2f(x1).二、填空题(本大题共4小题,每小题5分,共20分.请把正确答案填在题中横线上)13.设z=(2-i)2(i为虚数单位),则复数z的模为______.解析:z=(2-i)2=3-4i,所以|z|=|3-4i|=32+(-4)2=5.答案:514.(天津高考)已知函数f(x)=axlnx,x∈(0,+∞),其中a为实数,f′(x)为f(x)的导函数.若f′(1)=3,则a的值为________.解析:f′(x)=alnx+x·1x=a(1+lnx).由于f′(1)=a(1+ln1)=a,又f′(1)=3,所以a=3.答案:315.某商场从生产厂家以每件20元购进一批商品,若该商品零售价为p元,销量Q(单位:件)与零售价p(单位:元)有如下关系:Q=8300-170p-p2,则该商品零售价定为______元时利润...

1、当您付费下载文档后,您只拥有了使用权限,并不意味着购买了版权,文档只能用于自身使用,不得用于其他商业用途(如 [转卖]进行直接盈利或[编辑后售卖]进行间接盈利)。
2、本站所有内容均由合作方或网友上传,本站不对文档的完整性、权威性及其观点立场正确性做任何保证或承诺!文档内容仅供研究参考,付费前请自行鉴别。
3、如文档内容存在违规,或者侵犯商业秘密、侵犯著作权等,请点击“违规举报”。

碎片内容

人教A版2019年高中数学选修2:模块综合检测_含解析

文库当当响+ 关注
实名认证
内容提供者

该用户很懒,什么也没介绍

确认删除?
VIP
微信客服
  • 扫码咨询
会员Q群
  • 会员专属群点击这里加入QQ群
客服邮箱
回到顶部