电脑桌面
添加小米粒文库到电脑桌面
安装后可以在桌面快捷访问

分式乘除法练习题VIP免费

分式乘除法练习题_第1页
1/4
分式乘除法练习题_第2页
2/4
分式乘除法练习题_第3页
3/4
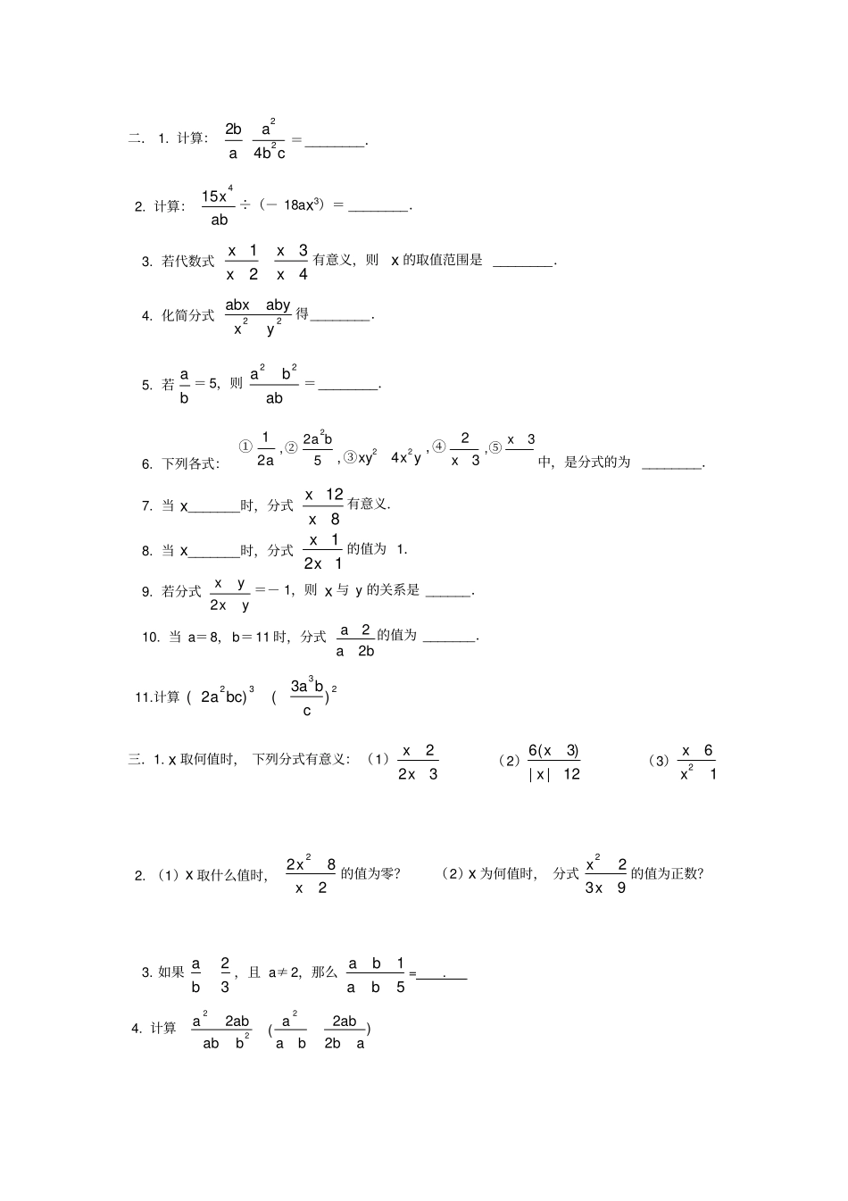
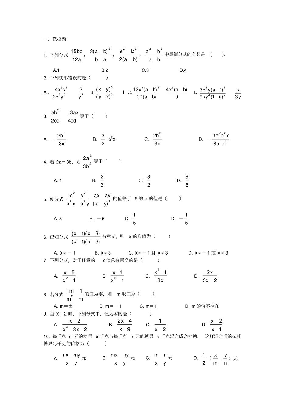
一、选择题1.下列分式abc1215,abba2)(3,)(222baba,baba22中最简分式的个数是().A.1B.2C.3D.42.下列变形错误的是()A..46323224yyxyxB.1)()(33xyyxC.9)(4)(27)(12323baxbabaxD.yxaxyayx3)1(9)1(322223.cdaxcdab4322等于()A.-xb322B.23b2xC.xb322D.-222283dcxba4.若2a=3b,则2232ba等于()A.1B.32C.23D.695.使分式22222)(yxayaxyaxayx的值等于5的a的值是()A.5B.-5C.51D.-516.已知分式)3)(1()3)(1(xxxx有意义,则x的取值为()A.x≠-1B.x≠3C.x≠-1且x≠3D.x≠-1或x≠37.下列分式,对于任意的x值总有意义的是()A.152xxB.112xxC.xx812D.232xx8.若分式mmm21||的值为零,则m取值为()A.m=±1B.m=-1C.m=1D.m的值不存在9.当x=2时,下列分式中,值为零的是()A.2322xxxB.942xxC.21xD.12xx10.每千克m元的糖果x千克与每千克n元的糖果y千克混合成杂拌糖,这样混合后的杂拌糖果每千克的价格为()A.yxmynx元B.yxnymx元C.yxnm元D.21(nymx)元二.1.计算:cbaab2242=________.2.计算:abx415÷(-18ax3)=________.3.若代数式4321xxxx有意义,则x的取值范围是________.4.化简分式22yxabyabx得________.5.若ba=5,则abba22=________.6.下列各式:a21①52②,2bayxxy224③,32④,x3⑤,x中,是分式的为________.7.当x_______时,分式812xx有意义.8.当x_______时,分式121xx的值为1.9.若分式yxyx2=-1,则x与y的关系是______.10.当a=8,b=11时,分式baa22的值为_______.11.计算2332)3()2(cbabca三.1.x取何值时,下列分式有意义:(1)322xx(2)12||)3(6xx(3)162xx2.(1)x取什么值时,2822xx的值为零?(2)x为何值时,分式9322xx的值为正数?3.如果32ba,且a≠2,那么51baba=.4.计算)22(2222ababbaabababa5.已知x-3y=0,求2222xyxxy·(x-y)的值.6.计算:(1)423223423badccdab(2)mmmmm3249622(3)(xy-x2)÷xyyx(4)24244422223xxxxxxxx(5)(xy-x2)÷xyxy(6)yxyxyx24422÷(4x2-y2)(7)316412446222xxxxxxx(8)(2334ba)2·(223ab)3·(ab3)2(9)43222)()()(xyxyyx(10))56(322abcdcba(11)2223baaab÷baba37.先化简,再求值(1)xxxxxxx39396922322,其中x=-31.(2)22441yxyxyx,其中x=8,y=11.8.(阅读理解题)请阅读下列解题过程并回答问题:计算:22644xxx÷(x+3)·263xxx.解:22644xxx÷(x+3)·263xxx=22644xxx·(x2+x-6)①=22(3)(2)xx·(x+3)(x-2)②=22182xx③上述解题过程是否正确?如果解题过程有误,请给出正确解答.9.已知m+1m=2,计算4221mmm的值.10.已知x2+4y2-4x+4y+5=0,求22442yxyxyx·22yxyyx÷(yyx22)2的值.

1、当您付费下载文档后,您只拥有了使用权限,并不意味着购买了版权,文档只能用于自身使用,不得用于其他商业用途(如 [转卖]进行直接盈利或[编辑后售卖]进行间接盈利)。
2、本站所有内容均由合作方或网友上传,本站不对文档的完整性、权威性及其观点立场正确性做任何保证或承诺!文档内容仅供研究参考,付费前请自行鉴别。
3、如文档内容存在违规,或者侵犯商业秘密、侵犯著作权等,请点击“违规举报”。

碎片内容

分式乘除法练习题

您可能关注的文档

文库当当响+ 关注
实名认证
内容提供者

该用户很懒,什么也没介绍

确认删除?
VIP
微信客服
  • 扫码咨询
会员Q群
  • 会员专属群点击这里加入QQ群
客服邮箱
回到顶部