电脑桌面
添加小米粒文库到电脑桌面
安装后可以在桌面快捷访问

二次根式练习题VIP免费

二次根式练习题_第1页
1/1
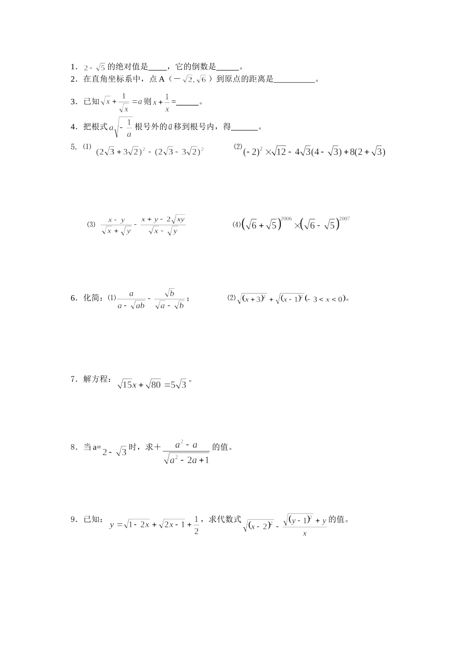
1.的绝对值是,它的倒数是。2.在直角坐标系中,点A(-)到原点的距离是__________。3.已知则=。4.把根式根号外的移到根号内,得。5.⑴⑵⑶⑷6.化简:⑴;⑵。7.解方程:。8.当a=时,求+的值。9.已知:,求代数式的值。

1、当您付费下载文档后,您只拥有了使用权限,并不意味着购买了版权,文档只能用于自身使用,不得用于其他商业用途(如 [转卖]进行直接盈利或[编辑后售卖]进行间接盈利)。
2、本站所有内容均由合作方或网友上传,本站不对文档的完整性、权威性及其观点立场正确性做任何保证或承诺!文档内容仅供研究参考,付费前请自行鉴别。
3、如文档内容存在违规,或者侵犯商业秘密、侵犯著作权等,请点击“违规举报”。

碎片内容

二次根式练习题

您可能关注的文档

百万精品文档+ 关注
实名认证
内容提供者

中小学学习资料教案课件

相关文档

确认删除?
VIP
微信客服
  • 扫码咨询
会员Q群
  • 会员专属群点击这里加入QQ群
客服邮箱
回到顶部