电脑桌面
添加小米粒文库到电脑桌面
安装后可以在桌面快捷访问

人教版高中数学(理科)选修导数乘除运算法则教案VIP免费

人教版高中数学(理科)选修导数乘除运算法则教案_第1页
1/3
人教版高中数学(理科)选修导数乘除运算法则教案_第2页
2/3
人教版高中数学(理科)选修导数乘除运算法则教案_第3页
3/3
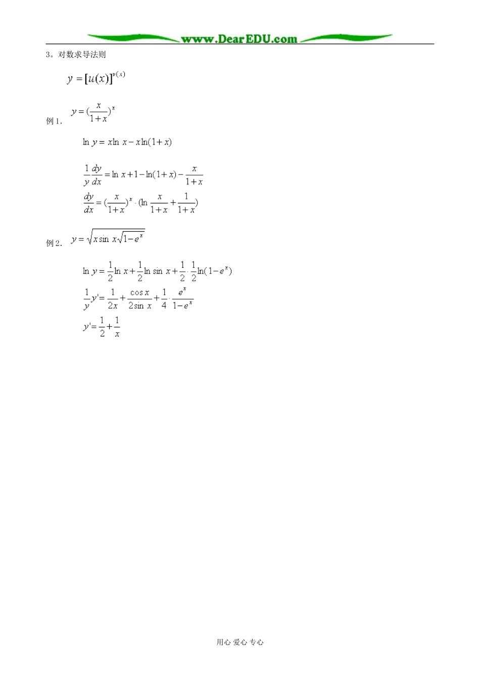
导数乘除运算法则1.运算法则定理1若函数在点可导,则函数在点可导,并且两函数代数和的导数等于它们导数的代数和.证:令任给一改变量则得到的改变量注:有限个函数导数等于它们导数的代数和。定理2若函数在点可导,则函数在点也可导,并且两个函数乘积的导数等于第一个函数的导数乘第二个函数加上第二个函数的导数乘第一个函数。证:由导数定义:定理3若函数在点可导,且则在点也可导,并且2.求导法则例:例1用心爱心专心例2例3例4.例5.例6.用心爱心专心3。对数求导法则例1.例2.用心爱心专心

1、当您付费下载文档后,您只拥有了使用权限,并不意味着购买了版权,文档只能用于自身使用,不得用于其他商业用途(如 [转卖]进行直接盈利或[编辑后售卖]进行间接盈利)。
2、本站所有内容均由合作方或网友上传,本站不对文档的完整性、权威性及其观点立场正确性做任何保证或承诺!文档内容仅供研究参考,付费前请自行鉴别。
3、如文档内容存在违规,或者侵犯商业秘密、侵犯著作权等,请点击“违规举报”。

碎片内容

人教版高中数学(理科)选修导数乘除运算法则教案

您可能关注的文档

确认删除?
VIP
微信客服
  • 扫码咨询
会员Q群
  • 会员专属群点击这里加入QQ群
客服邮箱
回到顶部