电脑桌面
添加小米粒文库到电脑桌面
安装后可以在桌面快捷访问

圆锥曲线试题五VIP免费

圆锥曲线试题五_第1页
1/2
圆锥曲线试题五_第2页
2/2
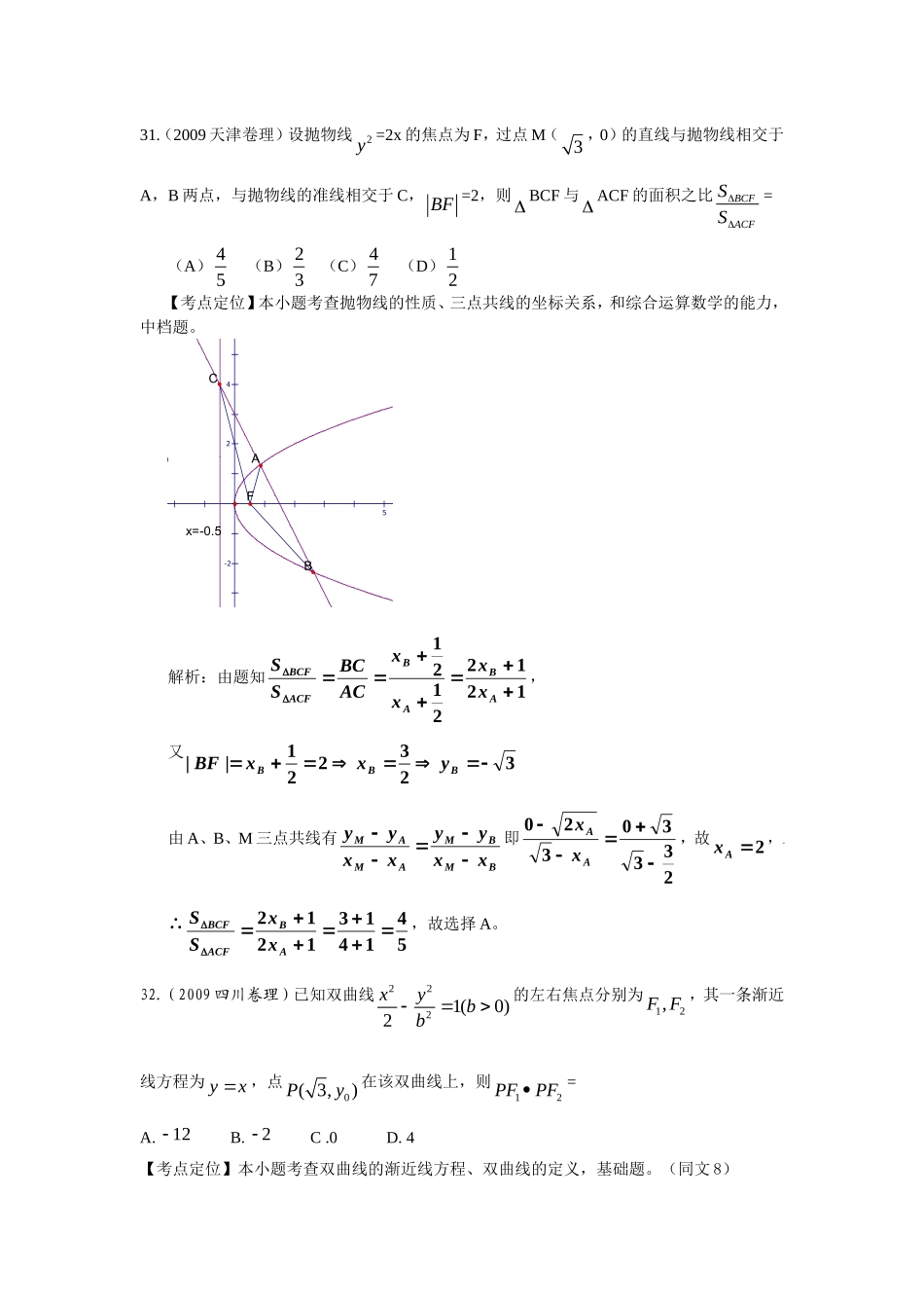
31.(2009天津卷理)设抛物线2y=2x的焦点为F,过点M(3,0)的直线与抛物线相交于A,B两点,与抛物线的准线相交于C,BF=2,则BCF与ACF的面积之比BCFACFSS=(A)45(B)23(C)47(D)12【考点定位】本小题考查抛物线的性质、三点共线的坐标关系,和综合运算数学的能力,中档题。642-2-4-6-10-5510x=-0.5F:(0.51,0.00)hx=-2x+3gy=-12fy=y22ABFC解析:由题知12122121ABABACFBCFxxxxACBCSS,又323221||BBByxxBF由A、B、M三点共线有BMBMAMAMxxyyxxyy即23330320AAxx,故2Ax,∴5414131212ABACFBCFxxSS,故选择A。32.(2009四川卷理)已知双曲线2221(0)2xybb的左右焦点分别为12,FF,其一条渐近线方程为yx,点0(3,)Py在该双曲线上,则12PFPF�=A.12B.2C.0D.4【考点定位】本小题考查双曲线的渐近线方程、双曲线的定义,基础题。(同文8)解析:由题知22b,故)0,2(),0,2(,123210FFy,∴0143)1,32()1,32(21PFPF,故选择C。解析2:根据双曲线渐近线方程可求出双曲线方程22122xy,则左、右焦点坐标分别为12(2,0),(2,0)FF,再将点0(3,)Py代入方程可求出(3,1)P,则可得120PFPF�,故选C。33.(2009四川卷理)已知直线1:4360lxy和直线2:1lx,抛物线24yx上一动点P到直线1l和直线2l的距离之和的最小值是A.2B.3C.115D.3716【考点定位】本小题考查抛物线的定义、点到直线的距离,综合题。解析:直线2:1lx为抛物线24yx的准线,由抛物线的定义知,P到2l的距离等于P到抛物线的焦点)0,1(F的距离,故本题化为在抛物线24yx上找一个点P使得P到点)0,1(F和直线2l的距离之和最小,最小值为)0,1(F到直线1:4360lxy的距离,即25|604|mind,故选择A。解析2:如下图,由题意可知22|3106|234d

1、当您付费下载文档后,您只拥有了使用权限,并不意味着购买了版权,文档只能用于自身使用,不得用于其他商业用途(如 [转卖]进行直接盈利或[编辑后售卖]进行间接盈利)。
2、本站所有内容均由合作方或网友上传,本站不对文档的完整性、权威性及其观点立场正确性做任何保证或承诺!文档内容仅供研究参考,付费前请自行鉴别。
3、如文档内容存在违规,或者侵犯商业秘密、侵犯著作权等,请点击“违规举报”。

碎片内容

圆锥曲线试题五

您可能关注的文档

确认删除?
VIP
微信客服
  • 扫码咨询
会员Q群
  • 会员专属群点击这里加入QQ群
客服邮箱
回到顶部