电脑桌面
添加小米粒文库到电脑桌面
安装后可以在桌面快捷访问

重庆市开县中学高三数学第一轮复习 解三角形教案VIP免费

重庆市开县中学高三数学第一轮复习 解三角形教案_第1页
1/5
重庆市开县中学高三数学第一轮复习 解三角形教案_第2页
2/5
重庆市开县中学高三数学第一轮复习 解三角形教案_第3页
3/5
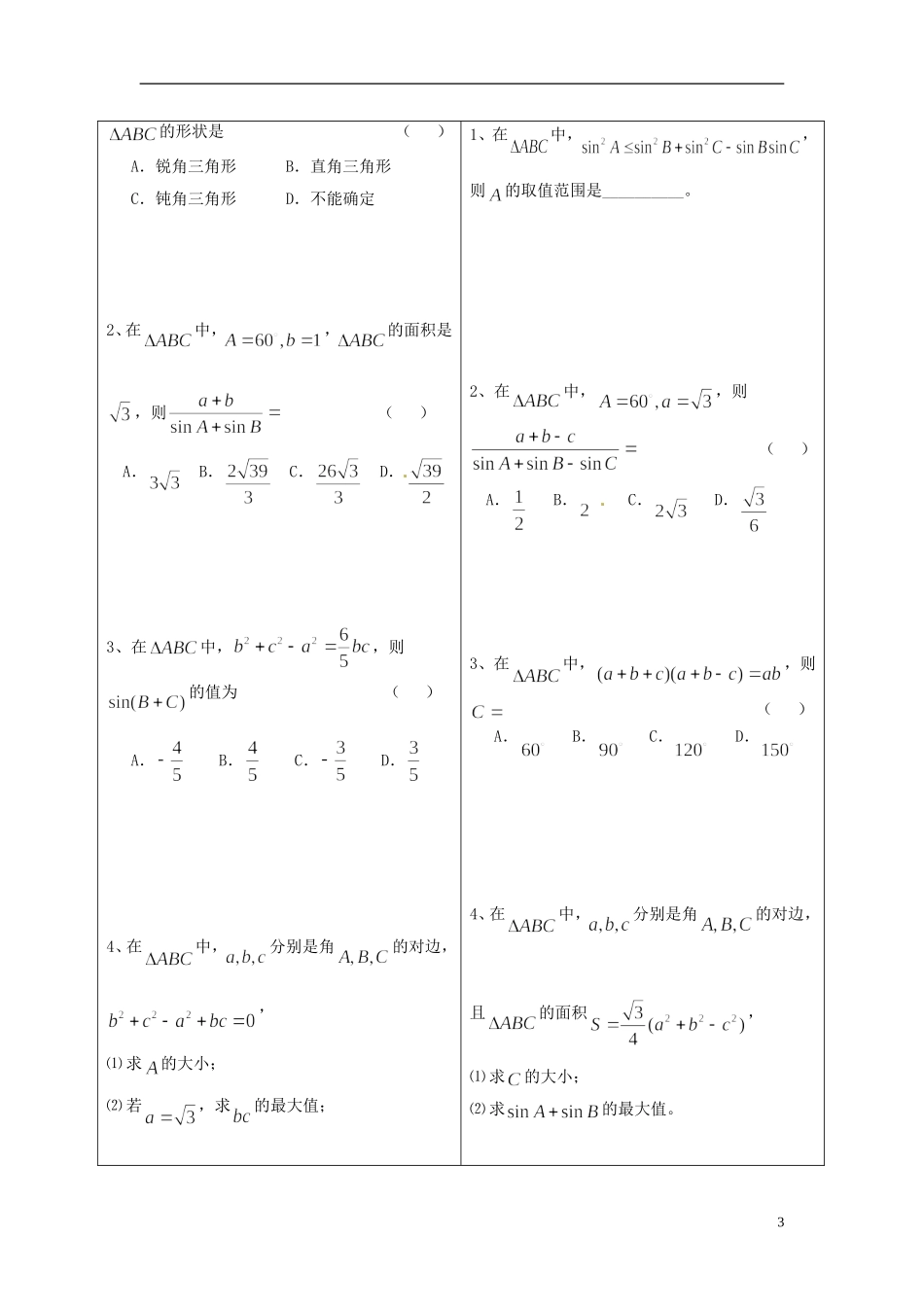
重庆市开县中学高三数学第一轮复习解三角形(教案)掌握正弦定理、余弦定理,解决一下简单的三角形变量问题。考纲要求1、掌握正弦定理、余弦定理,并能解决一些简单的三角形度量问题;2、能够运用正弦定理、余弦定理等知识和方法解决一些与测量和几何计算有关的实际问题。学习目标1、能说出正弦定理、余弦定理的内容;2、能利用正弦定理、余弦定理解三角形及判断三角形的形状。重点难点重点:利用正弦定理、余弦定理解三角形及判断三角形的形状;难点:正弦定理、余弦定理的灵活运用。学习过程评价任务(内容、问题、试题)学习活动(方式、行为、策略)完成P65知识清单中的知识点。【模块一】利用正、余弦定理解三角形1、在中,设分别是角的对边,⑴已知,求;⑵已知,求;⑶①已知,求;②已知,试判断的形状;自主建构相关知识的“知识树”。【针对模块一】1、在中,设分别是角的对边,⑴①已知,求;②已知,求;⑵已知,求;⑶①已知,求最大角;②已知,求;1⑷已知,求;⑸已知,求。2、在中,是边上一点,,,若,求的值。【模块二】用正、余弦定理判断三角形的形状1、在中,若,试判断的形状。2、在中,若,试判断的形状。【模块三】正、余弦定理的综合应用1、在中,若,则⑷已知,求;⑸已知,求。2、在中,,是边上一点,,的面积为,求的值。【针对模块二】1、在中,若,则这个三角形一定是()A.等腰三角形B.直角三角形C.等腰直角三角形D.等腰或直角三角形2、在中,若,试判断的形状。【针对模块三】2的形状是()A.锐角三角形B.直角三角形C.钝角三角形D.不能确定2、在中,,的面积是,则()A.B.C.D.3、在中,,则的值为()A.B.C.D.4、在中,分别是角的对边,,⑴求的大小;⑵若,求的最大值;1、在中,,则的取值范围是__________。2、在中,,则()A.B.C.D.3、在中,,则()A.B.C.D.4、在中,分别是角的对边,且的面积,⑴求的大小;⑵求的最大值。3⑶求的值。5、在中,分别是角的对边,且,⑴求的大小;⑵若,求的面积。6、在山顶铁塔顶处测得地面上点的俯角为,在铁塔底处测得点的俯角为,已知铁塔的高为米,求山高。5、在锐角中,分别是角的对边,且,⑴求的大小;⑵若,且的面积为,求。6、在海岸处发现北偏东方向,距处海里的处有一艘走私船,在处北偏西的方向,距离处2海里的处的缉私船奉命以海里时的速度追截走私船,此时,走私船正以海里时的速度从处北偏东方向逃窜,问缉私船沿着什么方向能最快追上走私船?4课后反思5

1、当您付费下载文档后,您只拥有了使用权限,并不意味着购买了版权,文档只能用于自身使用,不得用于其他商业用途(如 [转卖]进行直接盈利或[编辑后售卖]进行间接盈利)。
2、本站所有内容均由合作方或网友上传,本站不对文档的完整性、权威性及其观点立场正确性做任何保证或承诺!文档内容仅供研究参考,付费前请自行鉴别。
3、如文档内容存在违规,或者侵犯商业秘密、侵犯著作权等,请点击“违规举报”。

碎片内容

重庆市开县中学高三数学第一轮复习 解三角形教案

您可能关注的文档

星河书苑+ 关注
实名认证
内容提供者

从事历史教学,热爱教育,高度负责。

确认删除?
VIP
微信客服
  • 扫码咨询
会员Q群
  • 会员专属群点击这里加入QQ群
客服邮箱
回到顶部