电脑桌面
添加小米粒文库到电脑桌面
安装后可以在桌面快捷访问

四川省成都市2012-2013学年高一数学上学期周练十一-VIP免费

四川省成都市2012-2013学年高一数学上学期周练十一-_第1页
1/3
四川省成都市2012-2013学年高一数学上学期周练十一-_第2页
2/3
四川省成都市2012-2013学年高一数学上学期周练十一-_第3页
3/3
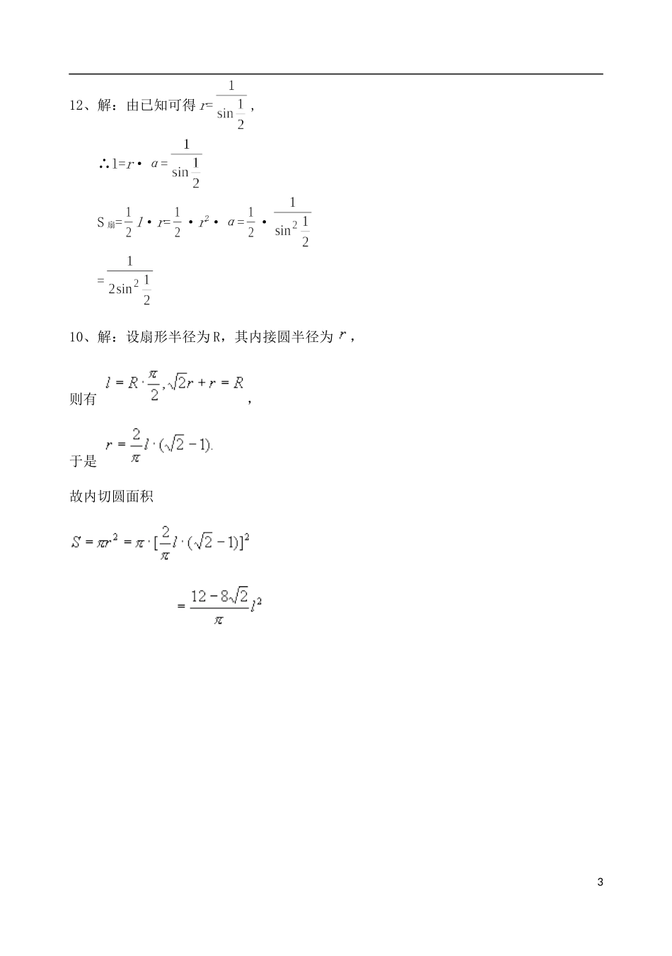
第十一周周练1、下列与的终边相同的角的表达式中,正确的是()A.B.[.Com]C.D.2、设集合,,则、的关系是()A.B.C.D.3、在半径为10cm的圆中,的圆心角所对弧长为()A.B.C.D.4、圆的半径是6cm,则的圆心角与圆弧围成的扇形面积是()A.cm2B.cm2C.cm2D.cm25、若,则的范围是________6、4弧度角的终边在第象限7、圆的半径变为原来的3倍,而所对弧长不变,则该弧所对圆心角是原来圆弧所对圆心角的倍.8、若角的终边与角的终边相同,则在上,终边与角的终边相同的角是.9、1弧度的圆心角所对的弦长为2,求这个圆心角所对的弧长及圆心角所夹的扇形的面1积.10、已知扇形的圆心角为,弧长为,求此扇形内切圆的面积。答案:1、C2、A3、A4、B5、6、三7、8、π9、212、解:由已知可得r=,∴l=r·α=S扇=l·r=·r2·α=·=10、解:设扇形半径为R,其内接圆半径为,则有,于是故内切圆面积3

1、当您付费下载文档后,您只拥有了使用权限,并不意味着购买了版权,文档只能用于自身使用,不得用于其他商业用途(如 [转卖]进行直接盈利或[编辑后售卖]进行间接盈利)。
2、本站所有内容均由合作方或网友上传,本站不对文档的完整性、权威性及其观点立场正确性做任何保证或承诺!文档内容仅供研究参考,付费前请自行鉴别。
3、如文档内容存在违规,或者侵犯商业秘密、侵犯著作权等,请点击“违规举报”。

碎片内容

四川省成都市2012-2013学年高一数学上学期周练十一-

您可能关注的文档

确认删除?
VIP
微信客服
  • 扫码咨询
会员Q群
  • 会员专属群点击这里加入QQ群
客服邮箱
回到顶部