电脑桌面
添加小米粒文库到电脑桌面
安装后可以在桌面快捷访问

实数计算题专题训练VIP免费

实数计算题专题训练_第1页
1/6
实数计算题专题训练_第2页
2/6
实数计算题专题训练_第3页
3/6
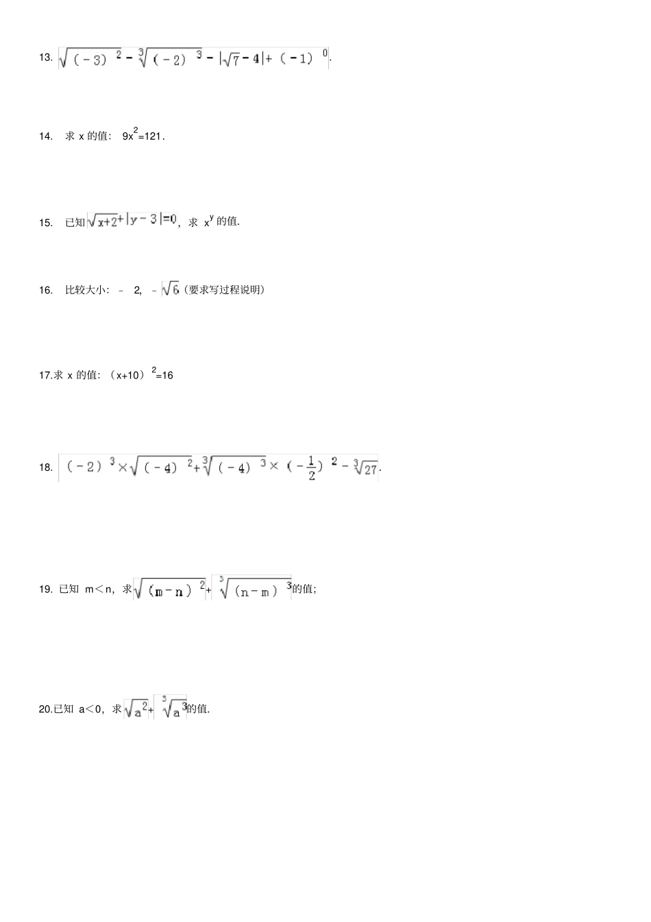
专题一计算题训练一.计算题1.计算题:|﹣2|﹣(1+)0+.2.计算题:﹣12009+4×(﹣3)2+(﹣6)÷(﹣2)3.4.||﹣.5.计算题:.6.计算题:(1);7.8.(精确到0.01).9.计算题:.10.(﹣2)3+(﹣3)×[(﹣4)2+2]﹣(﹣3)2÷(﹣2);11.|﹣|+﹣12.﹣12+×﹣213..14.求x的值:9x2=121.15.已知,求xy的值.16.比较大小:﹣2,﹣(要求写过程说明)17.求x的值:(x+10)2=1618..19.已知m<n,求+的值;20.已知a<0,求+的值.专题一计算题训练参考答案与试题解析一.解答题(共13小题)1.计算题:|﹣2|﹣(1+)0+.解答:解:原式=2﹣1+2,=3.2.计算题:﹣12009+4×(﹣3)2+(﹣6)÷(﹣2)解答:解:﹣12009+4×(﹣3)2+(﹣6)÷(﹣2),=﹣1+4×9+3,=38.3.4.||﹣.原式=14﹣11+2=5;(2)原式==﹣1.点评:此题主要考查了实数的综合运算能力,是各地中考题中常见的计算题型.解决此类题目的关键是熟练掌握二次根式、绝对值等考点的运算.5.计算题:.考点:有理数的混合运算。分析:首先进行乘方运算、然后根据乘法分配原则进行乘法运算、同时进行除法运算,最后进行加减法运算即可.解答:解:原式=﹣4+8÷(﹣8)﹣(﹣1)=﹣4﹣1﹣(﹣)=﹣5+=﹣.点评:本题主要考查有理数的混合运算,乘方运算,关键在于正确的去括号,认真的进行计算即可.6.;7..考点:实数的运算;立方根;零指数幂;二次根式的性质与化简。分析:(1)注意:|﹣|=﹣;(2)注意:(π﹣2)0=1.解答:解:(1)(==;(2)=1﹣0.5+2=2.5.点评:保证一个数的绝对值是非负数,任何不等于0的数的0次幂是1,注意区分是求二次方根还是三次方根.8.(精确到0.01).考点:实数的运算。专题:计算题。分析:(1)先去括号,再合并同类二次根式;(2)先去绝对值号,再合并同类二次根式.解答:解:(1)原式=2=;(2)原式==≈1.732+1.414≈3.15.点评:此题主要考查了实数的运算.无理数的运算法则与有理数的运算法则是一样的.注意精确到0.01.9.计算题:.考点:实数的运算;绝对值;算术平方根;立方根。专题:计算题。分析:根据绝对值、立方根、二次根式化简等运算法则进行计算,然后根据实数的运算法则求得计算结果.解答:解:原式=5×1.2+10×0.3﹣3﹣3+2﹣=5﹣.点评:本题考查实数的综合运算能力,是各地中考题中常见的计算题型.解决此类题目的关键是熟练掌握二次根式、立方根、绝对值等考点的运算.10.(﹣2)3+(﹣3)×[(﹣4)2+2]﹣(﹣3)2÷(﹣2);考点:有理数的混合运算。专题:计算题。分析:(1)根据理数混合运算顺序:先算乘方,再算乘除,最后算加减;如果有括号,要先做括号内的运算.(2)可以先把2.75变成分数,再用乘法分配律展开计算.解答:解:(1)(﹣2)3+(﹣3)×[(﹣4)2+2]﹣(﹣3)2÷(﹣2)=﹣8+(﹣3)×18+=﹣62+=﹣11.|﹣|+﹣12.﹣12+×﹣2解答:解:(1)原式==﹣4+2;(2)原式=﹣1+9﹣2=6;13..考点:实数的运算;绝对值;立方根;零指数幂;二次根式的性质与化简。专题:计算题。分析:(1)根据算术平方根和立方根进行计算即可;(2)根据零指数幂、绝对值、二次根式化简3个考点.在计算时,需要针对每个考点分别进行计算,然后根据实数的运算法则求得计算结果.解答:(1)解:原式=2+2﹣4⋯3′=0⋯4′(2)解:原式=3﹣(﹣2)﹣(4﹣)+1⋯3′=2+⋯4′点评:本题考查实数的综合运算能力,是各地中考题中常见的计算题型.解决此类题目的关键是熟练掌握负整数指数幂、立方根、二次根式、绝对值等考点的运算.14求x的值:9x2=121.15已知,求xy的值.16比较大小:﹣2,﹣(要求写过程说明)考点:实数的运算;非负数的性质:绝对值;平方根;非负数的性质:算术平方根;实数大小比较。专题:计算题。分析:(1)根据平方根、立方根的定义解答;(2)利用直接开平方法解答;(3)根据非负数的性质求出x、y的值,再代入求值;(4)将2转化为进行比较.解答:解:①原式=3﹣3﹣(﹣4)=4;②9x2=121,两边同时除以9得,x2=,开方得,x=±,x1=,x2=﹣.③ ,∴x+2=0,y﹣3=0,∴x=﹣2,y=3;则xy=(﹣2)3=﹣8;④ <,∴...

1、当您付费下载文档后,您只拥有了使用权限,并不意味着购买了版权,文档只能用于自身使用,不得用于其他商业用途(如 [转卖]进行直接盈利或[编辑后售卖]进行间接盈利)。
2、本站所有内容均由合作方或网友上传,本站不对文档的完整性、权威性及其观点立场正确性做任何保证或承诺!文档内容仅供研究参考,付费前请自行鉴别。
3、如文档内容存在违规,或者侵犯商业秘密、侵犯著作权等,请点击“违规举报”。

碎片内容

实数计算题专题训练

确认删除?
VIP
微信客服
  • 扫码咨询
会员Q群
  • 会员专属群点击这里加入QQ群
客服邮箱
回到顶部