电脑桌面
添加小米粒文库到电脑桌面
安装后可以在桌面快捷访问

常微分方程选择题及问题详解VIP免费

常微分方程选择题及问题详解_第1页
1/12
常微分方程选择题及问题详解_第2页
2/12
常微分方程选择题及问题详解_第3页
3/12
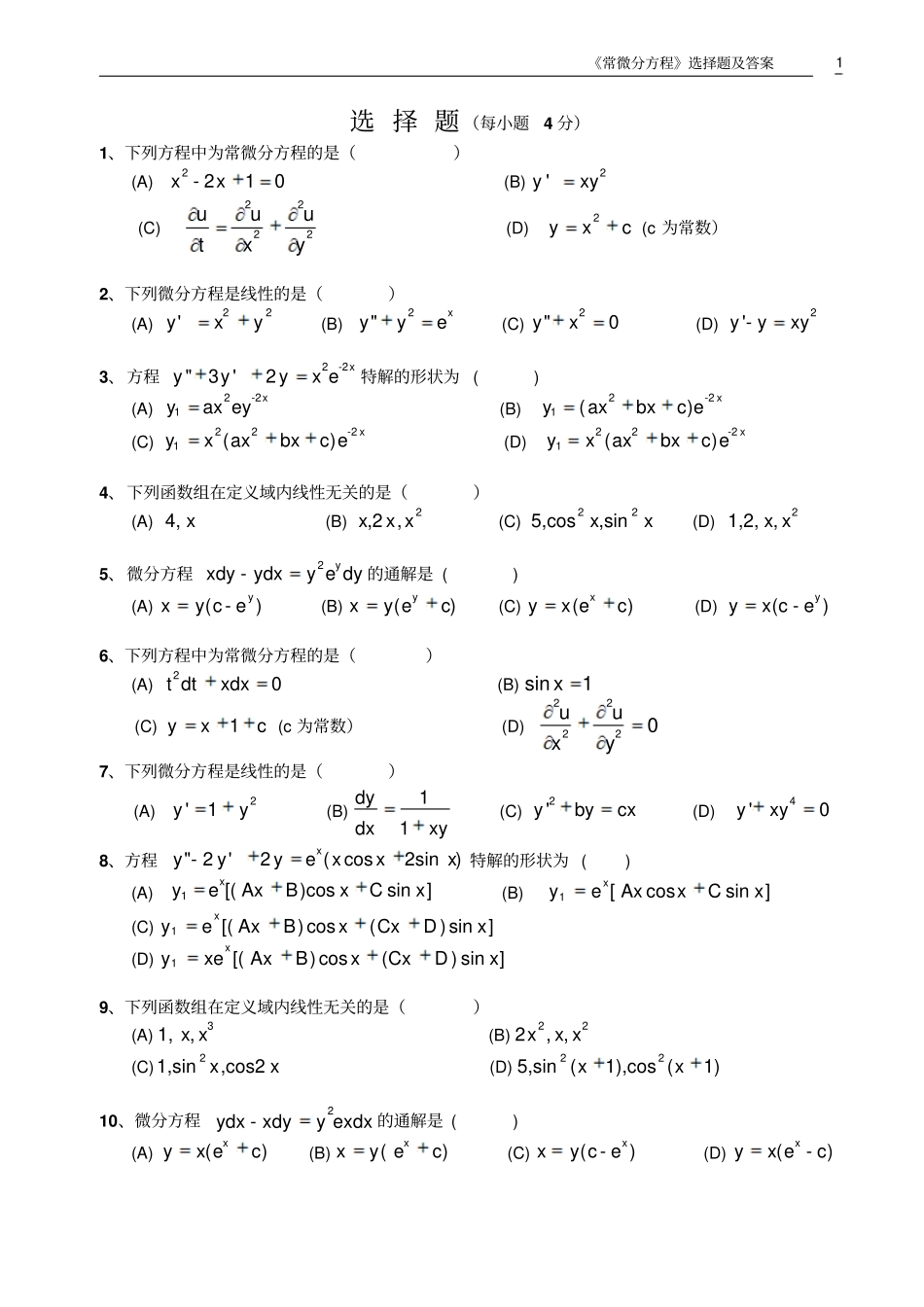
实用文档文案大全湖北师范学院优质课程《常微分方程》试题库及试题解答课程负责人:李必文数学系2005年3月18日《常微分方程》选择题及答案1选择题(每小题4分)1、下列方程中为常微分方程的是()(A)2-210xx(B)2'yxy(C)2222uuutxy(D)2yxc(c为常数)2、下列微分方程是线性的是()(A)22'yxy(B)2"xyye(C)2"0yx(D)2'-yyxy3、方程2-2"3'2xyyyxe特解的形状为()(A)2-21xyaxey(B)2-21()xyaxbxce(C)22-21()xyxaxbxce(D)22-21()xyxaxbxce4、下列函数组在定义域内线性无关的是()(A)4,x(B)2,2,xxx(C)225,cos,sinxx(D)21,2,,xx5、微分方程2-yxdyydxyedy的通解是()(A)(-)yxyce(B)()yxyec(C)()xyxec(D)(-)yyxce6、下列方程中为常微分方程的是()(A)20tdtxdx(B)sin1x(C)1yxc(c为常数)(D)22220uuxy7、下列微分方程是线性的是()(A)2'1yy(B)11dydxxy(C)2'ybycx(D)4'0yxy8、方程"-2'2(cos2sin)xyyyexxx特解的形状为()(A)1[()cossin]xyeAxBxCx(B)yeAxxCxx1[cossin](C)yeAxBxCxDxx1[()cos()sin](D)yxeAxBxCxDxx1[()cos()sin]9、下列函数组在定义域内线性无关的是()(A)31,,xx(B)222,,xxx(C)21,sin,cos2xx(D)225,sin(1),cos(1)xx10、微分方程2-ydxxdyyexdx的通解是()(A)()xyxec(B)()xxyec(C)(-)xxyce(D)(-)xyxec《常微分方程》选择题及答案211、下列方程中为常微分方程的是()(A)22-10xy(B)2'xyy(C)222222uuuxy(D)2xyc(c为常数)12、下列微分方程是线性的是()(A)dydxyx(B)2y+6y=1(C)y=y3+sinx(D)y+y=y2cosx13、方程y+y=2sinx特解的形状为()(A))sincos(1xBxAxy(B)yAxx1sin(C)yBxxcos(D)yAxxx12(cossin)14、下列函数组在定义域内线性无关的是()(A)0,1,t(B)et,2et,e-t(C)etettt3322sin,cos(D)tttt,||,24215、微分方程ydx-xdy=x2exdx的通解是()(A)y=x(c+ex)(B)x=y(c+ex)(C)x=y(c-ex)(D)y=x(c-ex)16、下列方程中为常微分方程的是()(A)x2+y2-z2=0(B)(C)(D)y=c1cost+c2sint(c1,c2为常数)17、下列微分方程是线性的是()(A))(tx-x=f(t)(B)3y+y=cosx(C)x+2y=y(D)y+(1/3)y=y418、方程y-2y+3y=e-xcosx特解的形状为()(A)(B)(C)(D)19、下列函数组在定义域内线性无关的是()(A)23,,ttteee(B)20,,tt(C))22cos(),1(sin12tt,(D)4-t,2t-3,6t+820、微分方程xdx-ydy=y2eydy的通解是()(A)x=y(ey+c)(B)x=y(c-ey)(C)y=x(ex+c)(D)y=x(c-ey)21、下列方程中为常微分方程的是()《常微分方程》选择题及答案3(A)x3+1=0(B)(C)(D)22、下列微分方程是线性的是()(A)y+y2=1+x(B)+y=cosx(C)y-2y=2x2(D)xdx+ydy=023、方程特解的形状为()(A)31xyAe(B)(C)(D)24、下列函数组在定义域内线性无关的是()(A)2,,xxxexexe(B)222,cos,cosxx(C)21,2,x(D)5420,,xxexex25、微分方程ydx-xdy=2x2exdx的通解是()(A)y=x(c-2ex)(B)x=y(c+2ex)(C)x=y(c-2ex)(D)y=x(c+2ex)26、微分方程的通解为()(A)(B)sin=x+c(C)sin=cx(D)sin=cx27、微分方程2yy=(y)2的通解()(A)(x-c)2(B)c1(x-1)2+c2(x+1)2(C)c1+(x-c2)2(D)c1(x-c2)228、微分方程xdy-ydx=y2eydy的通解为()(A)y=x(ex+c)(B)x=y(ey+c)(C)y=x(c-ex)(D)x=y(c-ey)29、微分方程y-2y-3y=0的通解y为()(A)(B)(C)(D)30、微分方程y''-3y'+2y=2x-2ex的特解y*的形式是()(A)(ax+b)ex(B)(ax+b)xex(C)(ax+b)+cex(D)(ax+b)+cxex31、通过坐标原点且与微分方程的一切积分曲线均正交的曲线方程是()(A)(B)(C)(D)32、设y(x)满足微分方程(cos2x)y1+y=tgx且当x=/4时y=0,则当x=0时y=()(A)/4(B)-/4(C)-1(D)133、已知y=y(x)的图形上点M(0,1)处的切线斜率k=0,且y(x)满足微分方程,则y(x)=()《常微分方程》选择题及答案4(A)sinx(B)cosx(C)shx(D)chx34、微分方程y-2y-3y=0的通解是y=()(A)33xx(B)(C)(D)35、设是线性非齐次方程的特解,则(A)是所给微分方程的通解(B)不是所给微分方程的通解(C)是所给微分方程的特解(D)可能是所给微分方程的通解也可能不是所给微分方程的通解,但肯定不是特解36、设y(x)满足ysinx=yLny,且y(/2)=e,则y(/4)=()(A)e/2(B)-1e(C)(D)37、微分方程2cos0ynytgxyx的通解是()(A)arctgxc(B)()arctgxc(C)1arctgxcx(D)1arctgxcx38、微分方程(1+y2)dx=(arctgy-x)dy的通解为()(A)(B)(C)(...

1、当您付费下载文档后,您只拥有了使用权限,并不意味着购买了版权,文档只能用于自身使用,不得用于其他商业用途(如 [转卖]进行直接盈利或[编辑后售卖]进行间接盈利)。
2、本站所有内容均由合作方或网友上传,本站不对文档的完整性、权威性及其观点立场正确性做任何保证或承诺!文档内容仅供研究参考,付费前请自行鉴别。
3、如文档内容存在违规,或者侵犯商业秘密、侵犯著作权等,请点击“违规举报”。

碎片内容

常微分方程选择题及问题详解

您可能关注的文档

文库当当响+ 关注
实名认证
内容提供者

该用户很懒,什么也没介绍

确认删除?
VIP
微信客服
  • 扫码咨询
会员Q群
  • 会员专属群点击这里加入QQ群
客服邮箱
回到顶部