电脑桌面
添加小米粒文库到电脑桌面
安装后可以在桌面快捷访问

常用地一些矢量运算公式VIP免费

常用地一些矢量运算公式_第1页
1/8
常用地一些矢量运算公式_第2页
2/8
常用地一些矢量运算公式_第3页
3/8
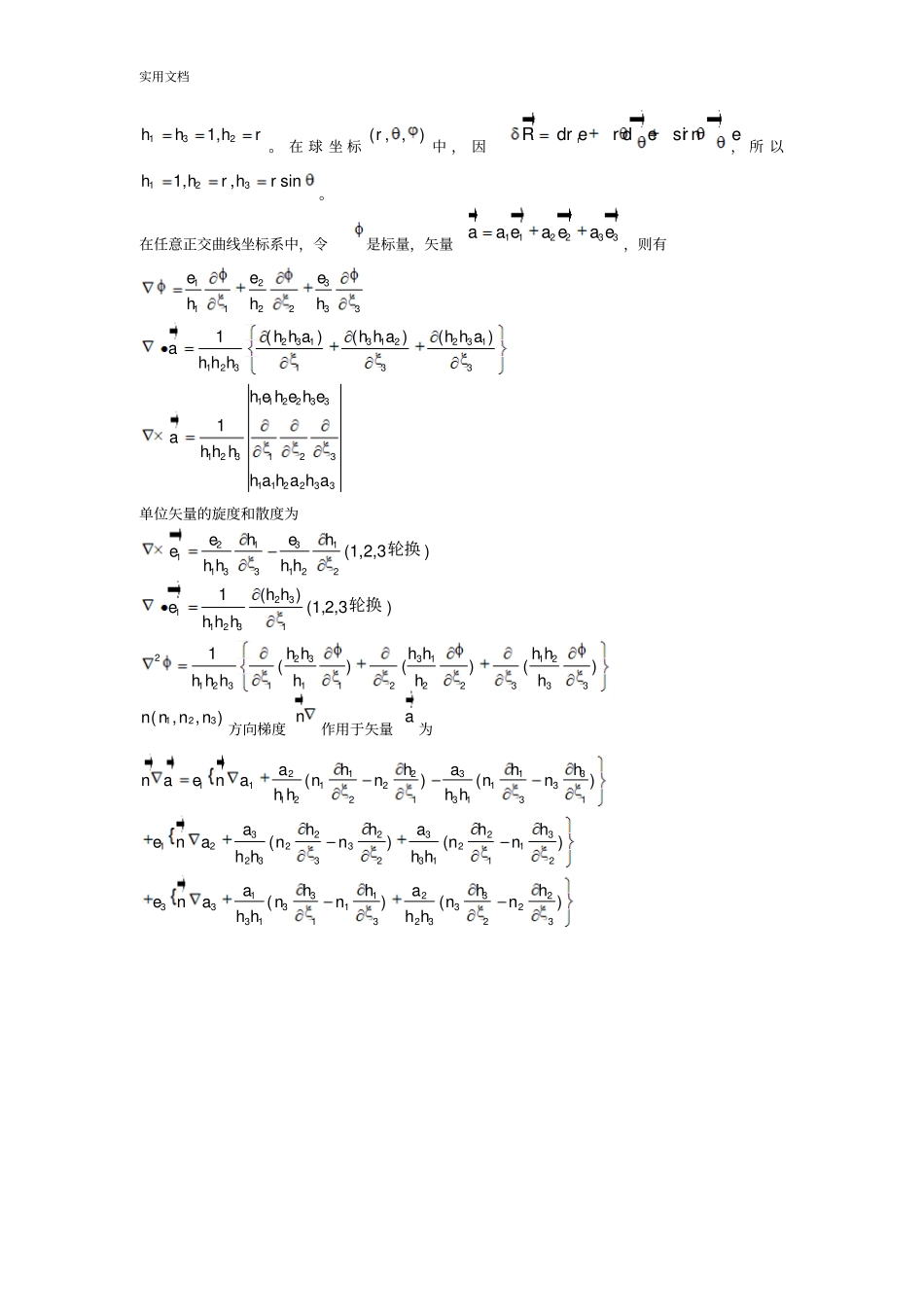
实用文档常用的一些矢量运算公式1.三重标量积如a,b和c是三个矢量,组合abc叫做他们的三重标量积。三重标量积等于这三个矢量为棱边所作的平行六面体体积。在直角坐标系中,设坐标轴向的三个单位矢量标记为,,ijk,令三个矢量的分量记为123123,,,,,aaaabbbb及123,,cccc则有123123123123123123cccijkabcaaacicjckaaabbbbbb因此,三重标量积必有如下关系式:abcbcacab即有循环法则成立,这就是说不改变三重标量积中三个矢量顺序的组合,其结果相等。2.三重矢量积如a,b和c是三个矢量,组合abc叫做他们的三重标量积,因有()()()abcacbcba故有中心法则成立,这就是说只有改变中间矢量时,三重标量积符号才改变。三重标量积有一个重要的性质(证略):()()abcabcacb(1-209)将矢量作重新排列又有:abcbacbac(1-210)3.算子(a)是哈密顿算子,它是一个矢量算子。(a)则是一个标量算子,将它作用于标量,即()a是在a方向的变化速率的a倍。如以无穷小的位置矢量dr代替以上矢量a,则()dr是在位移方向dr的变化率的dr倍,即d。()ddrdr若将()dr作用于矢量v,则()drv就是v再位移方向dr变化率的dr倍,既为速度矢量的全微分dvdrv应用三重矢量积公式(1-209)00()()()()abababbaabbaab实用文档应用三重矢量积公式(1-210)又有00()()()()abababababbaba将以上两式结合(相减)后可得1()()()()()2abababbaabbaab一个重要的特例,令abv,因0vv则有21()()2vvvvv4.算子的应用令是标量,a是矢量,;ab为并矢量,则有00002000()()()()()()()()()()()(;)(;)(;)()()aaaaaaaaaaaaaabababbaab在直角坐标中,令2222222()xyzyxzxyzxyzaiajakaijkxyzaaaaxyzijkaxyzaaaxyzaaaaxyz对一组正交曲线坐标系123(,,),其单位矢量123(,,)eee,将任意位置矢量R变分写为111222333Rhdehdehde其中123,,hhh为尺度因子(拉美系数)。因在直角坐标中,Rdxidxjdxk,所以1231hhh。在柱坐标(,,)rz中,因rzRdrerdedze,所以实用文档1321,hhhr。在球坐标(,,)r中,因sinrRdrerdere,所以1231,,sinhhrhr。在任意正交曲线坐标系中,令是标量,矢量112233aaeaeae,则有312112233231312231123133112233123123112233()()()11eeehhhhhahhahhaahhhheheheahhhhahaha单位矢量的旋度和散度为3211113312223112312233112123111222333(1,2,3)()1(1,2,3)1()()()eehhehhhhhhehhhhhhhhhhhhhhh轮换轮换123(,,)nnnn方向梯度n作用于矢量a为332121111213122131313332221223212332311233112233313231132323()()()()()()ahahhhnaenannnnhhhhaahhhhenannnnhhhhhhahahenannnnhhhh实用文档笛卡尔张量1.求和约定.克罗尼克尔符号.轮转符号以1(1,2,3)xi表示笛卡尔直角坐标系的坐标,1(1,2,3)ii表示三个坐标轴方向单位矢量。令123(,,)xxx,定义求和约定的写法为123123iiddxdxdxdxxxxx式中重复下标称为哑指标,表示求和约定。哑指标字母可以任意更换,jjdxx和iidxx具有相同的效果。使用求和约定时规定在每一单项中同一指标使用不能超过两次。克罗克尼尔(Kroneker)符号定义为0,1,ijijij在笛卡尔直角坐标系中,有12,,3,iijijijijijjxiixxx单位矩阵也可以表示为111213212223313233100010()001ijI轮转符号定义为0,,,1,,,1,2,3-1,,,1,2,3ijkijkijkijk当中有两个相同时当为顺序轮转排列时当为非轮转顺序排列时例如1232313121323212131,1。采用轮转符号ijk可使运算的书写简化,如123123123iijkjkiiiiabaaaabbbb或123123123()()iiijkjkikijkijababiiivvixxxxvvv实用文档或()()kiijkjvvx2.笛卡尔张量定义在直角坐标系中张量称为笛卡尔张量,而张量本身与所取的坐标无关。如一个标量在任何坐标系中都为同一个量,标量亦称为零阶张量。如一个适量在任何坐标系中以为同一个量。但他在三维空间中由三个分量组成,在不同的坐标系中这三个分量则不同,但他们都有一定的变换关系,矢量亦称为一阶张量。若有一个量(如应力)在任一点处有三个矢量分量123,,ppp即这个量具有九个分量。这个量在任何坐标系中都为一个量,而它们的9个分量在不同的坐标系中有不同的分量,但它们存在一定的变换关系,则这个量称为二阶张量,常简称为张量。在三维空间中被称为零阶张量,一阶张量,二阶张量等等...

1、当您付费下载文档后,您只拥有了使用权限,并不意味着购买了版权,文档只能用于自身使用,不得用于其他商业用途(如 [转卖]进行直接盈利或[编辑后售卖]进行间接盈利)。
2、本站所有内容均由合作方或网友上传,本站不对文档的完整性、权威性及其观点立场正确性做任何保证或承诺!文档内容仅供研究参考,付费前请自行鉴别。
3、如文档内容存在违规,或者侵犯商业秘密、侵犯著作权等,请点击“违规举报”。

碎片内容

常用地一些矢量运算公式

文库当当响+ 关注
实名认证
内容提供者

该用户很懒,什么也没介绍

相关文档

确认删除?
VIP
微信客服
  • 扫码咨询
会员Q群
  • 会员专属群点击这里加入QQ群
客服邮箱
回到顶部